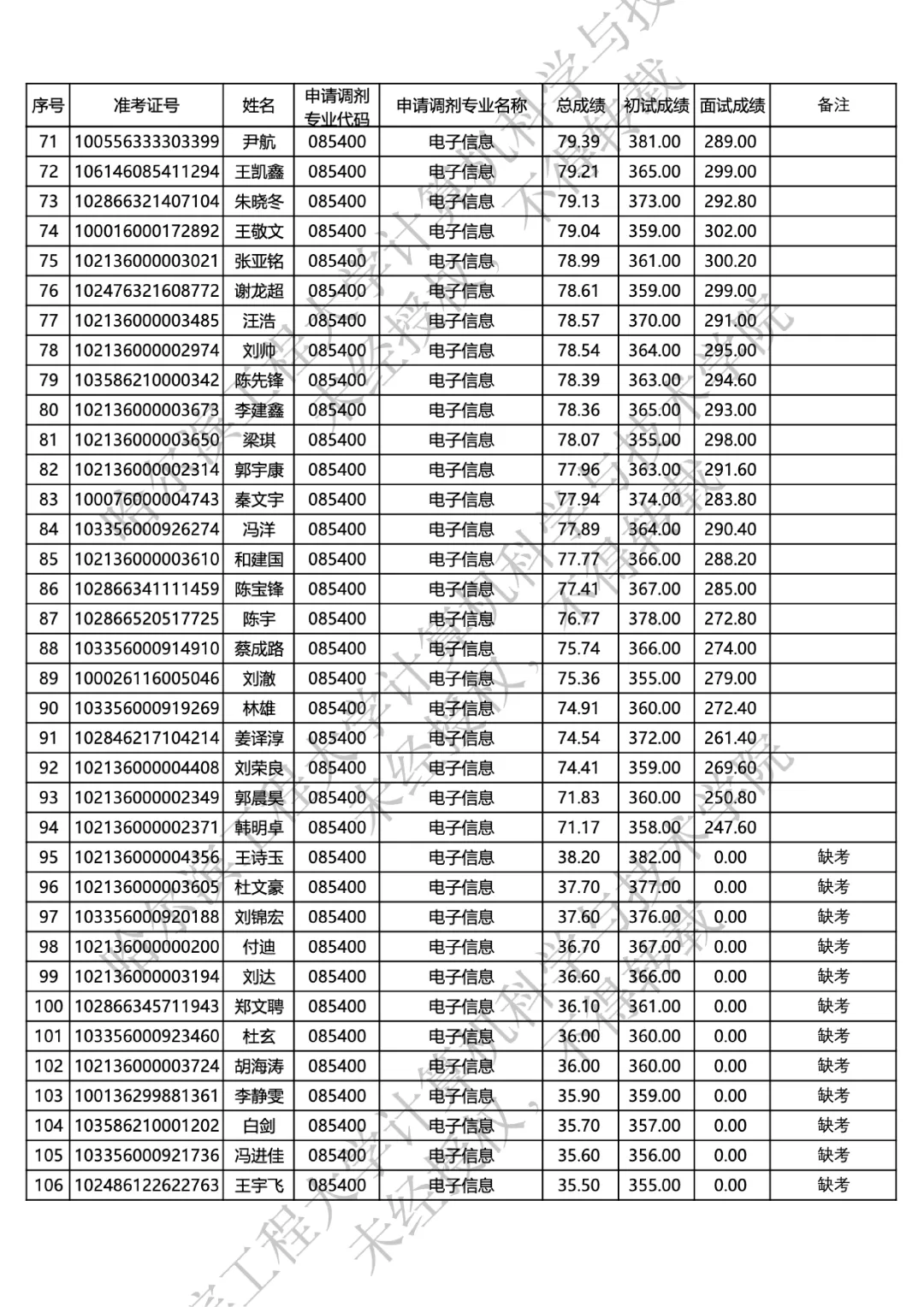
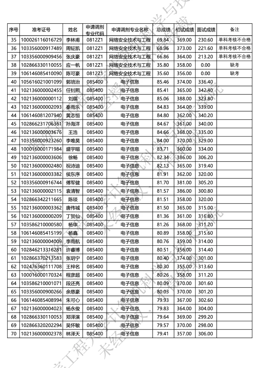
哈尔滨工程大学计算机科学与技术学院公示2026年硕士研究生调剂考试复试成绩


哈尔滨工程大学计算机科学与技术学院公示2026年硕士研究生调剂考试复试成绩

声明:以下数据来源哈尔滨工程大学,如有侵权,请联系删除!
2026年4月10日,哈尔滨工程大学计算机科学与技术学院在其官方网站上发布了”2026年硕士研究生调剂考试复试成绩公示”的通知,通知原文网址:

https://cstc.hrbeu.edu.cn/2026/0409/c3688a347805/page.htm

2026年硕士研究生调剂考试复试成绩名单