恒瑞入局,国内系统性红斑狼疮市场及在研现状
系统性红斑狼疮(SLE)是一种累及多器官且难以根治的自身免疫性疾病,据《中国系统性红斑狼疮发展报告2020》,我国SLE患病率约为30~70/10万,临床存在较大的需求。
据弗若斯特沙利文预计,2030年全球患病人数达855.2万人,其中中国约109.5万人;全球SLE治疗药物市场的规模预期 2030年至169亿美元,其中生物制剂市场规模达143亿美元,中国市场有望达到43亿美元,其中生物制剂达32亿美元。
SLE常用标准疗法安全性和耐受性亟待提高。目前的标准疗法包括糖皮质激素、抗疟药、免疫抑制剂和生物制剂等多种药物,其中激素是最常用的基础药物,但是病程≤4年的SLE患者中,仅约25%的患者经过治疗得到临床缓解,45%的患者出现器官损害,激素相关不良反应的发生率超过30%。目前SLE患者治疗选择仍然有限,亟需药效显著、复发率低、安全性良好的靶向创新药物。
01
上市药物
目前国内针对SLE治疗药物中上市的生物制剂仅荣昌生物的泰它西普和葛兰素史克(GSK)的贝利尤单抗2款,竞争水平低。
贝利尤单抗于2011年、2019年分别获得美国FDA、中国NMPA的批准,2021年实现12亿美元收入。
泰它西普于2021年3月基于II期临床数据在国内获附条件批准上市,2021年底进入医保,2022上半年销售额达1.5亿元,以量换价明显。
02
在研格局
目前,拟在中国上市的几款药物多处于临床I、II期:

值得一提的是,恒瑞在此前也默默的开始了SLE的布局,并于10月6日公布了一篇治疗SLE的抗体融合蛋白药物专利(WO2022206872)。
该专利设计了一种新的TACI序列片段,并对部分位点氨基酸残基进行替换,构建了新的TACI多肽及其融合蛋白。
全长TACI片段很容易断裂,其选取TACI部分序列并对TACI的易断裂位点引入氨基酸突变,使序列更稳定,新的TACI多肽片段具有更好结合活性、更好阻断功能、更好稳定性、更好成药性能。
在构建的TACI-Fc融合蛋白中,TACI-9 Fc融合蛋白稳定性和结合活性均显著优于其他融合蛋白,其中结合活性显著优于对照泰它西普(RCT-18)。

断裂分析
结合活性分析
对TACI-9进行截短和突变改造,截短片段分析结果表明,TACI-9的截短片段TACI-16、TACI-17、TACI-18构建的TACI-Fc融合蛋白对BAFF的结合活性以及阻断BAFF与BAFF-R结合的功能活性要显著高于其它TACI-Fc。

改造后的稳定性也显著优于阳性对照泰它西普(RCT-18)。

TACI-Fc融合蛋白在PBS溶液中的沉淀情况

TACI-Fc融合蛋白在PBS溶液中的SEC纯度变化
对纯度最高的TACI-9-15片段构建了三种融合蛋白:

进一步,恒瑞还构建了抗体融合蛋白TACI-Mab,将抗IL-12/IL-23的p40亚基的抗体优特克单抗(Ustekinumab)的轻链和/或重链与TACI多肽融合。

体外实验表明,TACI-Mab能有效阻断相关受体与其配体的结合,且阻断BAFF与BAFF-R、BAFF与BCMA、BAFF与TACI、APRIL与BCMA、APRIL与TACI的结合活性强于对照Ustekinumab,同时可有效阻断p40与IL-12Rβ1结合,活性与Ustekinumab相当。
同时,相较于对照Ustekinumab,TACI-Mab能有效抑制BAFF、APRIL诱导的B细胞增殖。


亲和力测试结果表明,TACI-Mab能以高亲和力与人IL-23、人IL-12、人BAFF、人APRIL、食蟹猴P40、食蟹猴BAFF、食蟹猴APRIL、鼠BAFF以及鼠APRIL结合
体内试验表明,TACI-Mab能显著抑制TNFα、IFNγ、IL-22的分泌,在两个剂量下都能显著的抑制IgA的分泌,而Ustekinumab无此活性。
同时,TACI-Mab相较对照泰它西普,半衰期显著增长。

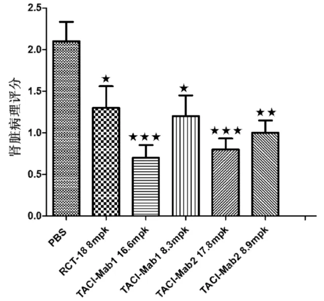
在系统性红斑狼疮动物模型中,TACI-Mab组肾脏病变程度随着剂量的升高而降低,具有一定的剂量效应,且效果优于泰它西普。

此前,恒瑞医药已布局了多款自免疫药物,包括小分子JAK1激酶抑制剂SHR0302、靶向IL-17A的重组人源化单克隆抗体SHR-1314等等,涉及领域包括白癜风、活动性强直性脊柱炎和克罗恩病等,目前恒瑞医药又入局了红斑狼疮,可见自免疫领域或将是其主要发力的领域之一。



评论