【南开产经导读109】通过创新逃离产品市场竞争
0
摘 要
本研究利用先进的文本分析技术,探讨中国进口竞争引发的产品市场竞争加剧如何影响美国电子和电气设备行业中现有企业的创新。通过衡量美国企业与中国进口商产品描述的相似性,捕捉企业层面的竞争压力。运用连续双重差分框架,比较了中国市场进入前后五年期间,与进口商竞争更直接的美国企业和面临较低竞争压力的美国企业在创新成果上的差异。研究发现,面临竞争加剧时,现有美国企业显著提升了其质量加权的专利产出,创造了更多的新产品专利,并战略性地向新的技术和业务领域多元化发展。本文的发现突显了进口驱动的竞争在激发战略性创新中的作用,并展示了基于文本的相似性度量如何有效量化企业层面的竞争,为战略学者提供了新颖的方法论工具。
1
引 言
竞争与创新的关系在现有文献中结论多样且矛盾,实证研究多依赖行业层面指标衡量企业竞争强度,忽视了企业层面的异质化竞争压力。本文提出了一种替代方法,使用公司特定的产品市场竞争指标,根据公司产品与环境中潜在竞争对手产品的相似性,捕捉同一行业内不同公司所面临的异质化竞争水平。这一方法与竞争的战略视角更为契合,也更符合理论模型背后的假设。
本研究聚焦于美国电子和电气设备行业。该行业技术变革快,创新活跃。此外,2001年中国加入WTO后,来自中国的进口竞争持续加剧,为研究提供了理想背景。与以往聚焦行业层面冲击的研究不同,本文从企业层面度量进口竞争,探究单个企业如何应对特定的竞争压力。通过分析美国企业与新进入美国市场的中国进口商的产品描述文本相似度,识别出美国电子和电气设备行业中美国企业与中国进口商之间的直接竞争配对关系。研究发现,受中国竞争对手直接影响的美国企业,其创新产出相较于受影响较小的企业有所增加。此外,通过捕捉企业层面竞争压力的差异,本研究的方法揭示了被行业层面度量指标所掩盖的企业异质性特征。最后,本文还发现企业会通过在产品相关领域创新、进入新技术和业务领域来战略性地应对竞争。
2
实证设置与数据
本研究将中国企业进入美国市场作为产品市场进口竞争的外生变化来源。具体识别2001—2003年(中国加入世贸组织后直接时期)首次向美国出口电子和电气设备的中国企业,将进入当年与美国企业产品描述的两两余弦相似度作为竞争强度的连续处理变量,比较处理组(与中国进口品高度相似的美国企业)和控制组(相似度最低的企业)在进入事件前后五年的创新产出。
本研究借鉴现有方法,以自然语言处理和句子转换器模型将中美企业产品描述转化为语义嵌入向量,计算向量间余弦相似度;取中国企业进入前一会计年度的数据,计算美国企业与当年所有新进中国企业的平均相似度,避免企业后期产品策略调整的偏差。
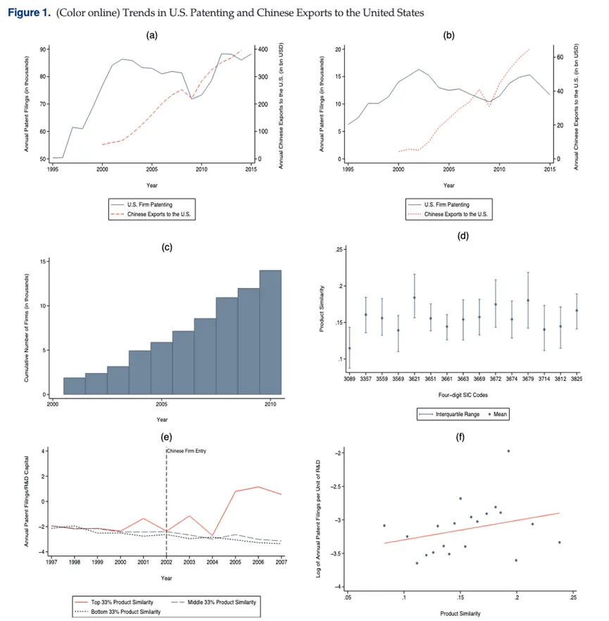
在实证检验中,本研究考察了美国企业受中国新进企业竞争影响的程度差异。图 1(d)中各四位数标准产业分类编码下的平均产品相似度四分位距较大,可见即便在精细的行业细分领域,美国企业面临的中国进口竞争暴露度仍有显著异质性,凸显出本研究企业层面度量指标能捕捉企业间竞争差异的优势;图 1(e)以 2002 年为基准的十年窗口期数据显示,相似度得分前 33%、中间 33%、后 33% 的美国企业,在中国企业进入前五年的每一美元研发平均专利量趋势相近,无显著预趋势,而中国企业进入后,后 33% 和中间 33% 群体趋势未变,前 33% 群体在 2004-2005 年专利申请量大幅增长并保持高位,这成为美国企业因中国进口竞争加剧而增加创新的初步证据;此外,图1(f)绘制了2005年至2007年间(即图 1(e)的美国企业在中国企业2002年进入后显著增加专利申请的年份)每一研发美元的平均专利数量的自然对数,与2002年进入年份的相似性得分之间的关系图,使用的是将相似性得分分组为20个等大小区间的分箱散点图。结果发现,创新与企业受中国进口竞争影响的程度之间存在直观的正向关系。

2.4 模型设定

为美国企业创新水平,以企业提交并最终获得授权的专利数量加1后的自然对数值衡量;
为虚拟变量,若某一企业-年度观测值处于进入事件e后的时期,则取值为1;
为美国企业与中国新进企业的产品相似度;
为企业层面控制变量;
为事件-企业固定效应,
为事件-年份固定效应,分别用于控制企业时间不变特征与事件年度的共性冲击;
为随机误差项,标准误在企业层面聚类。3
竞争中的创新与异质性
3.1 行业层面的进口竞争效应
作为前置分析,本文复现了Autor等(2020)的研究,即以四位数 SIC 行业的 1999 年最惠国与非最惠国关税差额(NTRG)衡量行业层面进口竞争暴露度。结果见表3第(1)-(4)列。结果显示,NTRG×AFTER的系数显著为负,表明关税差额较大的行业,其专利申请活动呈下降趋势。
3.2 超越行业均值:企业特定竞争与创新
行业平均效应掩盖了企业间的异质性,同一行业内企业因产品组合和市场定位不同,面临的竞争压力存在显著差异。表3列5在复现分析的基础上进一步拓展,考察行业平均效应是否依赖于企业层面的暴露度。具体而言,将企业层面的SIM及其与NTRG、AFTER的三重交互项纳入方程。结果显示:NTRG×AFTER依然显著为负,但NTRG×AFTER×SIM显著为正。这一结果意味着,在同一行业内,与中国新进企业产品相似度更高的企业,往往会通过增加创新产出来抵消行业层面的负向效应。换言之,尽管行业聚合效应表明竞争加剧会抑制创新,但正向的交互项表明,对于直接暴露于这种竞争压力的企业而言,创新的激励更强。这一发现与图1(e)中的描述性证据一致。

4
实证结果
表4呈现了仅使用企业特定相似度指标对模型(1)进行估计的结果。第(1)-(5)列采用连续型相似度指标,第(6)-(7)列采用离散型相似度指标分组(前33%与后33%对比)。在所有模型设定中,估计得到的处理效应均为正且显著。在本研究偏好的第(4)列模型设定中,中国进口竞争程度从25分位数(0.126)提升至75分位数(0.184),会使美国企业的创新水平提高9.90个百分点,相较于进入前的均值(1.068)增长9.27%。表4的(6)(7)结果表明,离散型指标下,受强竞争冲击的企业创新水平提高 16.55 个百分点,且是否纳入控制变量对结果影响有限,排除了遗漏变量偏差的可能。

图2展示了中国竞争对手进入市场对美国企业创新的动态效应。图2(a)和(b)分别采用连续型和离散型处理变量,呈现了全样本的动态效应;图2(c)和(d)则针对首次接受处理的企业组成的受限样本。动态效应的分析发现,进入事件前企业创新无显著差异化趋势,平行趋势假设成立;进入当年及后一年创新无显著变化,显著增长出现在进入后第二、三年,这与图1(e)中的描述性证据一致,这有力地表明美国企业仅在面临中国竞争对手进入后才会做出反应。

4.3 中国供给冲击还是美国需求与技术冲击?
为排除美国需求或技术趋势的内生影响,研究开展两项检验:一是限定进入前劳动生产率较高的中国企业,这些企业更有可能因供给侧因素和内在竞争力而进入市场,从而提供了一个更外生的进口竞争来源。表6第(1)列显示,使用这一修正后的度量指标得到的经济影响与基准估计结果几乎完全一致。
二是构建工具变量,本研究使用2001-2003年期间首次进入其他高收入市场(而非美国)的中国企业与美国企业的产品相似度,作为同期进入美国市场的中国企业与美国企业产品相似度的工具变量。表6第(2)列为第一阶段回归结果,结果显示二者显著正相关。第二阶段回归结果见表6第(3)(4)列。无论是否纳入控制变量,SIM×AFTER的系数均保持显著为正,且幅度与主估计结果高度接近。这一结果进一步支持了本研究的结论,即结果反映的是来自中国的供给侧冲击,而非美国特定的需求或技术趋势使然。


4.4 稳健性检验与分析机制检验
4.4.1 盈利能力、销售额与研发支出
表 7 第(1)-(2)列显示,中国进口竞争使美国企业短期资产收益率和销售额显著下降;第(3)列表明企业并未因此削减研发支出。结果说明,尽管盈利能力和销售额下降,企业仍维持了研发投入。
4.4.2 产品多元化与技术多元化
受到中国进口产品较大影响的企业可能会选择进入所在行业的其他细分市场,以将生产从直接竞争中转移出去,并可能还会在技术上实现多元化。表 7 第(4)列证实,面临进口竞争的美国企业更易进入新业务分部实现产品多元化;第(5)列发现,面临进口竞争的美国企业的技术多元化程度也会提升。
此外,本研究中记录的专利申请数量增加,一个潜在的解释是美国企业可能将知识产权用作防御机制,以保护其现有产品免受中国进口产品的竞争。第(6)列进一步考察了进口竞争加剧对美国企业在现有技术领域内专利申请活动的影响。结果发现,第(6)列的系数小于第(5)列,且不具有统计显著性。因此,尽管防御性专利申请可能在一定程度上解释了观察到的专利申请数量增加,但结果表明,大部分专利申请活动发生在新的技术领域而非现有领域。
4.4.3 产品创新与流程创新
本研究还考察了美国企业为应对进口竞争加剧而申请的专利类型,区分了产品创新和流程创新。表 7 第(7)-(8)列显示,受进口竞争影响的企业会提高产品专利占比,流程专利占比则无显著变化,表明企业优先通过产品差异化而非成本降低应对竞争。最后,本研究考察了企业年度报告中披露的产品描述变化。第(9)列采用Hoberg等(2014)的度量指标,捕捉企业当前产品描述与上一年产品描述的差异程度。结果显示,差异度有所提高,即受到更高进口竞争的企业更有可能改变其产品供给。第(10)列分析了美国企业当前产品描述与进入时中国新进企业产品描述的相似度。本研究发现,美国企业的产品与中国竞争对手的产品变得更加不同。综合来看,企业在应对进口竞争时呈现产品重新定位和战略差异化的广泛模式。

5
结论
本研究以中国加入WTO为自然实验,通过中美企业产品描述的文本相似度识别竞争暴露程度,考察进口竞争对美国电子电气设备企业创新的影响。实证发现:第一,进口竞争刺激了美国企业的专利产出,成为其技术升级和产品差异化的长期驱动力;第二,企业应对行业层面竞争加剧会开发更多新产品和产生更多专利。此外,企业还会调整企业的战略,通过资源向新技术领域配置,以增强竞争优势并实现产品差异化,以此减轻竞争压力,该结论与相关经典研究结论一致。
同时,本研究结果为调和欧美进口竞争影响研究的矛盾结论提供了思路:因聚焦企业层面的异质反应,发现受进口竞争冲击最大的美国企业会转向受进口影响较小的技术和产品领域,这使得企业创新增加的同时行业整体创新或呈下降趋势,这一差异也源于行业层面与企业产品相似度指标所捕捉的竞争边际不同。研究也指出,行业层面指标仍有其应用价值,但本研究的结果凸显了企业层面竞争压力和战略反应异质性的重要性。因此,理解这些不同层级之间的相互作用,为未来研究提供了一个有前景的方向。
- END -
——关于我们——
《NKU产经前沿导读》是南开大学经济与社会发展研究院产业经济研究所、南开大学企业研究中心共同创建和运营的公众号。公众号将关注国内外产业发展前沿问题;解读产业经济学高水平文献与研究方法;发布南开大学产业经济学科动态。公众号旨在为产业经济学领域的学者提供研究选题、分析方法等学术资源。欢迎广大读者关注并转发本公众号内容。

声 明:推文仅代表文章作者观点,不代表NKU产经前沿导读公众号平台观点。
译 者:谢艳晴 南开大学经济学院博士研究生
校 稿:白雪洁 南开大学经济与社会发展研究院教授、博导
编 辑:张瑞琪 南开大学产业经济学专业2024级硕士研究生


评论