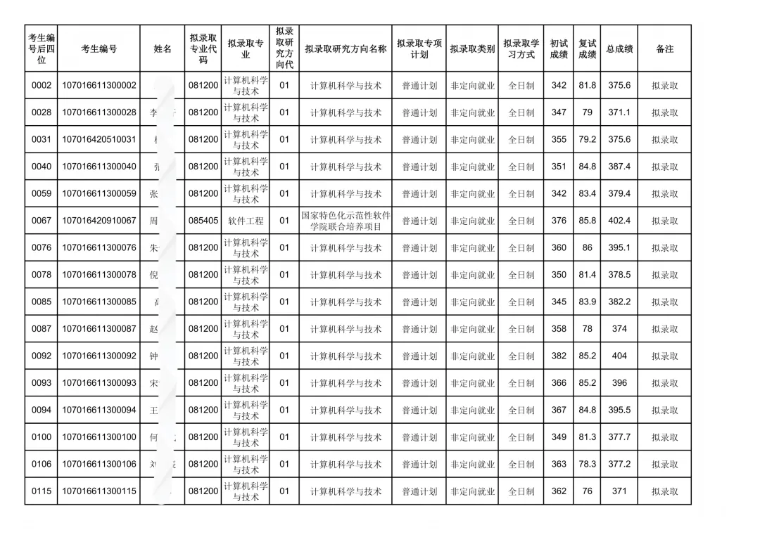
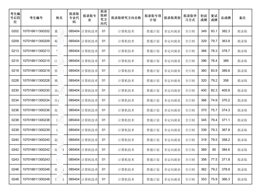
西电计算机科学与技术学院26考研复试结果















关注微信公众号:西电科文正研考,领取资料
|
回复:811,获取811信号与系统、电路报考信息+初/复试资料购买链接; 回复:821,获取821电路、信号与系统报考信息+初/复试资料购买链接; 回复:841,获取841机械原理报考信息+初/复试资料购买链接; 回复:844,获取844信号与系统报考信息+初/复试资料购买链接; 回复:843,获取843自动控制原理报考信息+初/复试资料购买链接; 回复:892,获取892信号与线性系统报考信息+初/复试资料购买链接; 回复:894,获取894材料科学基础报考信息+初/复试资料购买链接; 回复:893,获取893网络空间安全基础综合报考信息+初/复试资料购买链接; 回复:851,获取851物理光学与应用光学报考信息+初/复试资料购买链接; 回复:872,获取872普通物理报考信息+初/复试资料购买链接; 回复:801,获取801半导体物理报考信息+初/复试资料购买链接; 回复:822,获取822电磁场与微波技术报考信息+初/复试资料购买链接; 回复:842,获取842理论力学报考信息+初/复试资料购买链接; 回复:861,获取861经济学报考信息+初/复试资料购买链接; 回复:862,获取862运筹学基础报考信息+初/复试资料购买链接; 回复:863,获取863管理学报考信息+初/复试资料购买链接; 回复:864,获取864管理信息系统报考信息+初/复试资料购买链接; 回复:871,获取871高等代数报考信息+初/复试资料购买链接; 回复:881,获取881中西方哲学史报考信息+初/复试资料购买链接; 回复:883,获取883中国化时代化马克思主义报考信息+初/复试资料购买链接; 回复:884,获取884综合测试报考信息+初/复试资料购买链接; 回复:885,获取885日语专业综合报考信息+初/复试资料购买链接; 回复:891,获取891分子生物学报考信息+初/复试资料购买链接; 回复:895,获取895区域国别综合报考信息+初/复试资料购买链接; |




评论