必看!国家市场监督管理总局发布了JJF 1139-2026《计量器具检定周期确定原则》,7月24日实施!
《关于我们》
杭州荣翌医疗是一家覆盖CRO+COMO一站式服务多平台的技术服务公司
·临床试验:方案设计、机构筛选、受试者招募、数据管理与统计分析,覆盖有源、IVD 等多个领域(完成 50 + 临床试验项目,成功率 100%)。
·法规与注册:同品种比对临床评价、注册文件编写与提交、技术审评跟踪、现场核查协助,委托检验,支持 NMPA、FDA、CE 等国内外注册认证。
来源:国家市场监督管理总局

JJF 1139-2026
计量器具检定周期确定原则和方法
1 范围
本规范规定了确定计量器具检定周期的基本原则和方法。
本规范适用于制修订计量检定规程时对所适用计量器具检定周期的确定,同时适用于新研制的或在用计量器具检定周期的确定,也为计量器具检定周期的调整提供参考。
2 引用文件
本规范引用了下列文件:
JJF 1001-2011 通用计量术语及定义
JJF 1033 计量标准考核规范
ILAC‑G24/OIML D 10:2022 测量设备校准间隔的确定导则 (Guidelines for the determination of recalibration intervals of measuring equipment)
NCSL RP‑1: 2019校 准 间 隔 的 确 定 和 调 整 (Establishment and Adjustment of Calibration Intervals)凡是注日期的引用文件,仅注日期的版本适用于本规范;凡是不注日期的引用文件,其最新版本 (包括所有的修改单) 适用于本规范。
3 术语和定义
JJF 1001-2011 确定的以及下列术语和定义适用于本规范。
3. 1 测量仪器 (计量器具) measuring instrument
单独或与一个或多个辅助设备组合,用于进行测量的装置。
注:
1 一台可单独使用的测量仪器是一个测量系统。
2 测量仪器可以是指示式测量仪器,也可以是实物量具。
[来源:JJF 1001-2011,6. 1]
3. 2 计量器具的检定 verification of a measuring instrument
测量仪器的检定
简称计量检定或检定
查明和确认测量仪器符合法定要求的活动,包括检查、加标记和/或出具检定证书。
[来源:JJF 1001-2011,9. 17,有修改]
3. 3 检定周期 verification period
按规定程序,对计量器具进行定期检定的时间间隔。
3. 4 测量设备 measuring equipment
为实现测量过程所必需的测量仪器、软件、测量标准、标准物质、辅助设备或其组合。
[来源:JJF 1001-2011,6. 6]
3. 5 测量可靠性 measurement reliability
测量设备的一组指定属性符合性能规范的概率。
注:检定周期的确定,假设检定周期是测量可靠性的函数。
3. 6 测量可靠性目标 measurement reliability target
与质量、成本等目标相适应的特定测量可靠性水平,单个或一组测量仪器或其属性在使用过程中处于允差范围内的可接受概率的最小值。
4 检定周期确定原则
检定周期的确定应能确保计量器具量值的准确可靠,控制计量器具超差使用带来的风险,应满足以下原则。
4. 1 计量性能和使用状况结合的原则
应根据计量器具的特征 (如计量器具的工作原理、结构型式、所用材质、关键零部件等)、性能要求 (如最大允许误差、测量重复性、稳定性等) 和使用情况 (如环境条件、使用频率、维护状况等),综合全面地分析考虑。
4. 2 测量可靠性的原则
应能使计量器具满足其使用预期的测量可靠性目标 (一般不低于 90%),且能实现其目标测量不确定度。
4. 3 科学实践的原则
应使用科学的方法,积累充足的实验数据,经分析研究后确定。可选用第 5 章中的某一种或某几种方法,根据不同计量器具特点选择合适的数据来源 (见附录 E)。
5 检定周期确定方法
检定周期的确定方法有一般间隔法、借用间隔法、工程分析法、反应法和最大似然估计法等。
5. 1 一般间隔法
一般间隔法适用于新型计量器具,当相同种类的仪器数量很少,或者不强调控制仪器的测量可靠性,或者当其他方法均不可用时,对此类计量器具采用统一的周期作为初始检定周期。这种方法容易实现且便于管理,但不利于确定与测量可靠性目标相适应的检定周期。通常选择较短的周期,以便较快积累测量数据,快速了解计量特性变化趋势,有助于后续使用其他方法重新确定可靠有效的检定周期。
5. 2 借用间隔法
如需确定检定周期的计量器具在测量可靠性目标、检定程序、使用和维护方法、环境要求等方面与已确定检定周期的计量器具相似,可“借用”其周期作为该计量器具的初始检定周期,也可使用被借用计量器具的检定历史数据确定该计量器具的检定
周期。如果在以上方面存在差异,则需评估差异对测量可靠性的影响,对借用的检定周期进行修正,以适应该计量器具的要求。
5. 3 工程分析法
工程分析法基于计量器具的稳定性和其他工程参数,在没有检定历史数据的条件下确定初始检定周期时较为有效。以下情况可使用工程分析法确定检定周期:
a) 对于已确定检定周期的计量器具仅进行外观修改等非重大改进,仍具有与原计量器具相同的性能特征,则可使用原计量器具的检定周期作为更新后计量器具的检定周期;
b) 可使用计量器具制造商提供的周期作为初始检定周期,但需对参数的允差要求、满足允差要求的使用时间、规定时间内测量结果在允差内的概率等进行确认;
c) 如果能够评估计量器具的关键零部件性能,可根据零部件的可靠性分析综合确定计量器具的初始检定周期。
5. 4 反应法
反应法是根据预定算法对最近的检定数据做出反应,而不是建立模型或预测测量可靠性随时间发生的变化。反应法主要有简单反应法 (方法 A1)、增量反应法 (方法A2)、间隔测试法 (方法 A3)。
5. 4. 1 简单反应法 (方法 A1)
简单反应法也称“自动调整法”或“阶梯调整法”,对给定的计量器具,在每次检定后或最多 2 到 3 次检定后进行检定周期的调整。如果计量器具的测量结果在允差范围内,则将周期延长 a;如果测量结果超出允差,则将周期缩短 b。每次调整的幅度或是固定增量,或是现有周期的倍数。
由前一个周期 I0 按照公式 (1) 和公式 (2) 计算新的周期 I1:

设置合适的 a 和 b 以达到给定的测量可靠性目标,例如,设 a 为 0. 1,b 为 0. 55,可实现的测量可靠性目标约为 90%。
可使用公式 (3),设置不同的 b 来实现任意长期平均测量可靠性目标 Rt:

在选择 a 时需考虑一个平衡关系:a 越大,从初始周期接近正确周期的速度越快,但最终无法收敛到正确周期,会在正确周期附近振荡,振荡的幅度与 a 正相关;a 越小,从初始周期接近正确周期的速度越慢,达到正确周期需耗费较长时间,但当达到正确周期后能保持在距离正确周期很近的位置。
注:
1 方法 A1 是依据最近的测量结果进行调整,所以无法准确知道何时达到了正确周期,也难以将计量器具保持在正确周期,而且通过大量测量得到的计量器具长期平均可靠性很可能会与预期的测量可靠性目标相差很大。
2 正确周期指在保证计量器具性能要求的前提下,为获得尽可能小的测量不确定度,以尽可能短的时间和最低的成本能够达到的最佳周期。
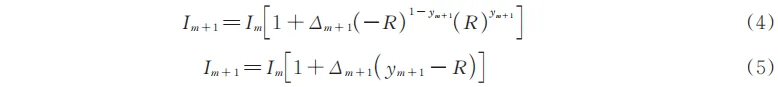
5. 4. 2 增量反应法 (方法 A2)
增量反应法中每次对检定周期的调整幅度是之前调整值的函数,通过调整时逐步缩小周期变化量,逐渐接近最终周期并保持。如果在调整过程中计量器具的性能是稳定的,那么调整值会变得越来越小,直至达到最终的稳定周期。
有公式 (4) 和公式 (5) 两种计算方法:

公式 (4) 和公式 (5) 中:
m--周期调整序号;
Im--第 m 次检定时的周期,初始周期为 I0,即检定过程开始时 m = 0;
R--可靠性目标;

参数 Δ m 是一个大于零的函数,会随着条件的改变而收敛趋于 0。附录 A 的 A. 3 给出了方法 A2 的具体示例。
注:使用方法 A2 试图达到与预期可靠性目标相适应的检定周期所需的时间会很长,通常需要几十年,且在这个过程中可能会有相当大的反复。与方法 A1 一样,使用方法 A2 得到的最终周期很可能与正确周期有较大差异。
5. 4. 3 间隔测试法 (方法 A3)
间隔测试法使用计量器具的检定历史数据,通过统计分析判断检定结果是否与预期的测量可靠性目标一致,决定是否进行周期调整。如果在给定周期内观察到数据的测量可靠性与预期的测量可靠性目标存在显著差异,则应调整周期。
间隔测试法通过统计测试来对测量可靠性 R0 和可靠性目标 R 之间的一致性进行评估,根据公式 (6) 和公式 (7) 求解显著性水平限 R U和RL,以确定是否存在显著差异。


公式 (6) 和公式 (7) 中:
R U--测量可靠性 R0 的显著性水平上限;
RL --测量可靠性 R0 的显著性水平下限;
n --周期 I的检定次数;
g --周期 I的检定合格次数;
α --间隔测试的显著性水平 (一般取 30%)。
如果预期的测量可靠性目标 R 不在 [ RL,R U ]范围内,则认为存在显著差异,即需要调整周期。
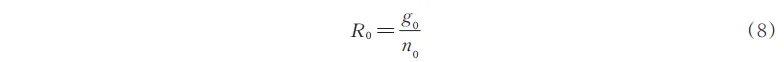
周期的调整可以使用外推法和内插法。
指数外推是使用指数可靠性模型进行外推计算的调整方法。首先计算当前周期 I0的测量可靠性 R0,为当前周期的检定合格次数与检定总次数之比。

式中:
g0--周期I0的检定合格次数;
n0--周期I0的检定总次数。
再利用指数可靠性模型的函数方程计算调整后的周期 I1:

指数外推的优化方法和置信度补偿外推方法见 A. 4. 2。
内 插 法 是 当 历 史 数 据 表 明 周 期 被 过 度 调 整 时 , 将 周 期 回 归 到 前 一 次 周 期 和 调整 后 周 期 的 中 间 值 。 由 前 一 次 的 周 期 I0 和 调 整 后 的 周 期 I1 计 算 得 到 回 归 周 期 ,记为 I2:

如果 I2 也不满足要求,则按公式 (11) 计算新的周期 I3:

以这种方式持续计算,直至找到一个与测量可靠性目标相适应的周期。
关于方法 A3 的详细内容见 A. 4。
5. 5 最大似然估计 (MLE) 法
最大似然估计法 (以下简称 MLE 法) 是根据检定历史数据或其他运行数据进行可靠性模型参数估算的一种方法。MLE 法在达到正确周期方面明显优于反应法,但需要大量数据进行分析,所需的试验次数也随累积数据的不同类型而异。目前常见的 MLE法有经典法 (方法 S1)、二项式法 (方法 S2)、更新时间法 (方法 S3)。
5. 5. 1 经典法 (方法 S1)
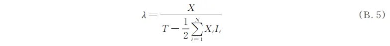
经典法是最简单、成本最低的 MLE 法,采用经典的可靠性分析方法来构造似然函数。由于在构造似然函数时,需要知道每一个超差发生的时间,而该时间在测量环境中几乎是未知的,通常可以知道计量器具在每次检定开始和结束时是否超差,但不知道两次检定中间的情况。为此,经典法假设超差时间都发生在两次检定的中间,并采用指数模型来构造似然函数,模拟测量可靠性与周期的关系。
似然函数见公式 (12):

式中:
n --检定总次数;
Ii --第 i次的检定周期时间;

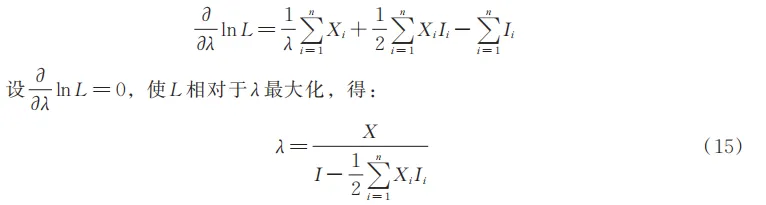
对似然函数取对数得:

两边对 λ 取偏导可得:

式中:

通过公式 (15) 求得可靠性函数的系数 λ 和可靠性函数,通过确定的测量可靠性目标,进一步求出所需的检定周期。
经典法为假设每次检定时均进行调整的情况,其他调整情况的计算方法见附录 B。
注:由于经典法 (方法 S1) 只适用于指数模型,对于其他模型则无法做出合理估计,考虑到测量仪器组合、使用的多样性,依赖单一可靠性模型往往会得到次优的检定周期。
5. 5. 2 二项式法 (方法 S2)
二项式法利用可靠性函数来模拟检定周期的合格概率或超差概率,用检定结果超差百分数的二项分布构造似然函数。二项式法不局限于单一的可靠性模型,也不受超差时间未知的限制,几乎可以适应各种可靠性模型,适合为各种类型的计量器具确定检定周期。但其系统开发和实现的成本很高,且需要较高水平的系统分析和统计学专业知识。具体方法见附录 C。
5. 5. 3 更新时间法 (方法 S3)
更新时间法是二项式法的改进方法,能够适应检定周期确定过程中的各种更新策略。更新时间法同样不受超差时间未知的限制,可以适应各种可靠性模型,且具有处理各种更新策略的优越能力。对于更新时间法,如何进行更新并不重要,只需在检定历史过程中采用特定的更新策略构造相应的似然函数来模拟可靠性与周期的关系。具体方法见附录 D。
6 方法的确定
6. 1 选择标准
为选择合适的检定周期确定方法,应考虑 (但不限于) 以下内容:
a) 达到测量可靠性目标的能力;
b) 可获得的数据来源和类型;
c) 可获得的数据量大小;
d) 系统开发与数据处理要求;
e) 技术人员能力水平;
f) 成本因素。
不同周期确定方法对应以上选择标准的适用情况如表 1 所示。
表 1 周期确定方法与选择标准的适用情况

6. 2 方法的选择
检定周期的确定和调整方法的一般选择决策见表 2,实际过程中应综合考虑各方面情况,选择合适的方法进行。
表 2 方法选择

附录 A 反应法
A. 1 概述
反应法是指根据最近的检定数据对检定周期进行调整的方法,无需任何建模,也不预测测量可靠性随时间的变化情况。
一般来说,在建立满足测量可靠性目标的检定周期方面,大多数反应法不如统计法有效,且反应法通常需要很长时间 (长达 60 年) 来实现一个使平均偏差达到理想水平的稳定状态。但反应法的优点是很直观且易于使用。
反应法包含简单反应法 (方法 A1)、增量反应法 (方法 A2) 和间隔测试法 (方法A3) 三种方法,其中间隔测试法在使用统计判据方面与其他方法有所不同。
A. 2 简单反应法 (方法 A1)
方法 A1 的具体内容见 5. 4. 1。
A. 3 增量反应法 (方法 A2)
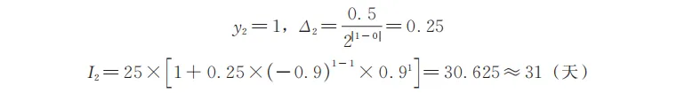
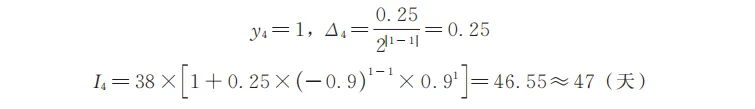
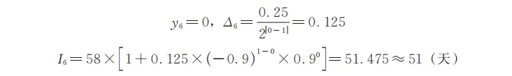
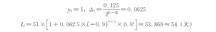
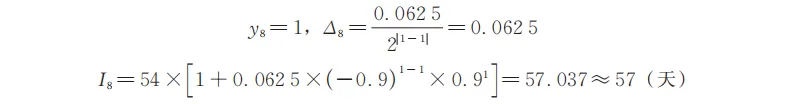
方法 A2 的具体内容见 5. 4. 2。以下给出方法 A2 的周期调整示例。
假设某计量器具的历次检定结果如表 A. 1 所示:
表 A. 1 某计量器具的历次检定结果

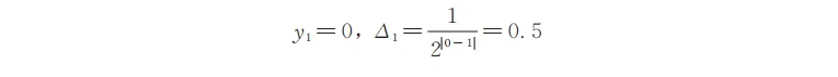
用 Ii表示检定周期,单位为天。假设初始检定周期为 45 天,则初始数据为:

设测量可靠性目标为 R = 0. 9,使用方法 A2 进行的周期调整过程如下。
第一次检定不合格后:


第二次检定合格后:

第三次检定合格后:

第四次检定合格后:

第五次检定合格后:

第六次检定不合格后:

第七次检定合格后:

第八次检定合格后:

A. 4 间隔测试法 (方法 A3)
方法 A3 是一种既能在合理时间内获得正确周期,又不产生间歇性周期波动的反应方法。该方法根据检定结果是否与测量可靠性目标一致来决定是否进行调整,例如,如果某一周期对应于较高的可靠性目标,则一旦发生超差即有可能会触发周期调整。
方法 A3 基于显著性统计结果进行调整,因此避免了方法 A1 和 A2 的部分缺点。
A. 4. 1 调整原则
发生超差或不超差都是随机事件,不建议根据单次超差或不超差结果调整周期。
在某些情况下,甚至当出现两个、三个或更多连续的超差或不超差结果时,也不建议调整周期来响应。在给定测量可靠性目标和已知检定次数的情况下,超差或不超差可能会在正确的周期内频繁发生。是否调整周期取决于是否以极不可能的方式发生了超差,即以与正确周期假设不一致的方式发生了超差。
在方法 A3 中,使用统计测试来评价检定结果是否与正确周期一致。如果在给定周期内观察到合格结果的百分比与预期的可靠性目标存在显著差异,则进行周期调整。
如果得到的测量可靠性显著高于或显著低于可靠性目标,则应将周期延长或缩短。“显著高于”或“显著低于”的意思是,测量结果发生超差的概率会导致拒绝接受现有周期是正确的假设。例如,假设周期是正确的,当得到的合格率小于 30% 时,就应进行周期调整。这里合格率小于 30% 为显著性水平。
A. 4. 1. 1 显著性水平限
显著性水平限是显著性水平的限值,是与所分析的周期相关的潜在测量可靠性的置信极限。如果观测得到的测量可靠性与期望的测量可靠性目标有很大的差异,以至于显著性水平限不包含测量可靠性目标,那么可以认为与周期相关的潜在测量可靠性与预期测量可靠性目标有显著差异。
由于检定只有超差或不超差两种可能结果,因此观测得到的测量可靠性呈二元分布。可通过使用二项分布求得其显著性水平限。显著性水平限的计算表达式见 5. 4. 3。
求解 R U 和 RL 时,由于与周期相关的潜在测量可靠性 R* 是在 [ RL,R U ]内的,如果期望的测量可靠性目标 R 不在 [ RL,R U ]范围内,则认为 R* 与 R 显著不同,周期 I 设置不合理,即需要调整周期。
A. 4. 1. 2 调整方法
周期调整可以使用外推法或内插法。因为方法 A3 本质上是在闭环反馈控制中反复应用间隔测试,所以可以灵活选择调整方法。当进行调整时,测量结果比可靠性目标高 (低) 时延长 (缩短) 周期的任何算法都是可行的,因为随后也将对新的周期进行间隔测试。
A. 4. 2 间隔外推
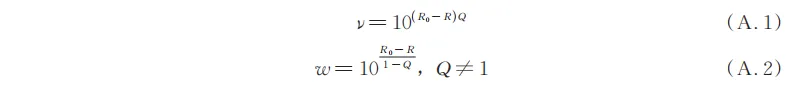
A. 4. 2. 1 指数外推
间隔外推可以使用任意一种合适的可靠性模型来计算,其中最简单、使用最广泛的是指数可靠性模型。使用指数外推调整周期的计算公式见 5. 4. 3。
如果当前的测量可靠性 R0 小于测量可靠性目标 R,那么调整后的周期 I1 应小于当前周期 I0 (即周期缩短)。如果 R0 大于 R,则 I1 应大于 I0 (即周期延长)。
使用时需要注意,一个可靠性小范围变化的测量结果可能产生较大的周期调整,且 R0 等于 1 或 0 的情况未定义。可以通过两种限制方法来避免以上问题。第一种方法要求 aI0 ≤ I1 ≤ bI0,其中参数 a 和 b 由用户设置,如 0. 5 和 2. 0。第二种方法的限制范围取决于测量可靠性目标。具体过程如图 A. 1 和 A. 2 所示。

图 A. 2 指数外推过程图 (限制方法 2)
A. 4. 2. 2 置信度补偿外推
指数外推会产生极端的周期调整,即使当时只需要一个小的调整。如果经过统计测试拒绝了现有周期,指数外推则对该周期进行完全调整,而不考虑该周期被拒绝的程度。为了纠正这一问题,置信度补偿外推通过统计测试结果对现有周期置信度的拒绝程度来改变周期调整。
本方法的周期调整计算过程如下:
其中:

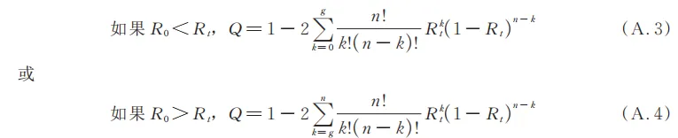
a 和 b 是用户设置的参数,与上文相同,通常为 0. 5 和 2. 0。拒绝置信度 Q 是周期被拒绝的概率,在考虑了测量可靠性 R0 等于 1 或 0、或非常接近平均测量可靠性目标Rt 的特殊情况以外,可用公式 (A. 3) 或公式 (A. 4) 计算,但无论周期调整是延长还是缩短,较大的 Q 值都会产生较大的周期调整。

图 A. 3 置信度补偿外推过程图

置信度补偿外推过程图,如图 A. 3 所示。
A. 4. 3 间隔内插
随着时间的推移,不断有测量数据在新的检定周期中累积。如果历史数据表明周期被过度调整,则将周期回归到前一次周期和调整后周期的中间值。因此,如果周期被延长,且新周期得到的测量可靠性显著低于预期目标,则该周期应缩短为现有周期和上一次周期的中间值;如果周期被缩短,且新周期得到的测量可靠性显著高于预期目标,则该周期也以同样方法延长。使用内插法进行周期调整的计算公式见 5. 4. 3。
A. 4. 4 周期调整过程
所有调整方法的结果通常修约到最接近的时间单位。外推和内插过程实现如下:
A. 4. 4. 1 初始周期调整
在确定初始周期之后,如果检定结果表明应对周期进行调整,则对该周期进行外推法调整。周期的缩短和延长都采用外推法。
A. 4. 4. 2 后续周期调整
在进行后续的周期调整时,如果新周期的调整方向与之前的调整方向相同,则使用与之前相同的方法 (内插或外推)。如果与之前的调整方向相反,则采用内插法进行新的调整。例如,将之前由外推法缩短的周期进行延长时,采用内插法调整。如果使用内插法收敛到错误的周期,则可再次使用外推法。
A. 4. 5 使用条件
因为方法 A3 关注的是当前周期内的测试,所以上述显著性统计测试的所有数据都应在相同的周期内或接近该周期。这可能会限制该方法在样品序列号级别的应用。然而,在周期差异很大的情况下,作为收集单一周期历史数据的准备步骤,可以计算平均周期来代替单一指定周期,并将单个样品周期设置为平均周期或以平均值调整的周期。在这种情况下,谨慎的做法是将周期延长时间限制在最长周期的 1. 2 倍。
使用方法 A3 时还需考虑到,对于之前获取的对样品合格概率产生影响的数据的任何变更都不能用于评估当前周期。这种变更可能是检定程序的修订或允差值的修改。
无论何种变更,变更前样品的属性可能与样品当前状况无关。例如,假设一个样品的允差值被减半。很明显,对于原始允差的一半,样品偏离允差所需的时间要比更改前少得多。因此,如果样品的历史数据由一系列合格结果组成,则这些结果不能被认为与当前的合格或不合格趋势相关。在这种情况下,如果当前周期在过去数据的基础上延长,超差的可能性会急剧增加。因此,当一个变更导致应忽略历史数据时,现有的周期应该作为初始检定周期来处理。
综上所述,方法 A3 在满足以下条件时使用效果最好:
a) 用于测试给定检定周期的数据,包括周期结束时获得的等于或几乎等于当前周期的检定结果;
b) 对于某一样品,用于测试给定检定周期的数据与样品的当前稳定性相适应;
c) 用于测试给定检定周期的数据与检定程序、允差值和影响测量可靠性随时间变化的其他因素相适应。
A. 5 小结
A. 5. 1 方法 A1 的优点和缺点
优点为成本低且易于实施。不需要专业知识,启动成本最低。
缺点为:
a) 周期的变化是对单次检定结果的响应。由于任何检定结果都是一次随机事件,故对于单次检定结果的周期调整,相当于试图通过对随机波动进行调整来控制整个过程。这种做法本质上是无效的。
b) 方法 A1 没有试图对潜在的不确定度增大机制进行建模。因此,如果需要改变周期,则无法确定适当的调整幅度。
c) 如果用方法 A1 求得一个与测量可靠性目标水平一致的周期,下一次检定结果必然会使其偏离正确的周期。例如,假设样品当前周期对应的测量可靠性目标为90%,即假设此周期是正确的,则在周期结束时,样品有 90% 的概率是合格的。如果样品最近的检定结果合格,则方法 A1 产生一个周期延长。如果有 90% 的概率合格,就有 90% 的可能性会发生这种情况。换句话说,即使周期是正确的,10 次检定结果中的 9 次都会导致周期延长。因此,如果周期是正确的,那么方法 A1 很可能由于响应而偏离正确的周期。
d) 方法 A1 虽然不能保持正确的周期,但可以达到一个稳定的平均测量可靠性。
然而实现稳定的平均测量可靠性需要相当长的时间,通常为 15 年到 60 年不等。
e) 由于方法 A1 的周期调整通常依靠技术人员手动计算,而不是通过自动化的方式确定,因此操作成本可能很高。
A. 5. 2 方法 A2 的优点和缺点
优点为:
a) 与统计预测方法 (附录 B、C、D) 相比,方法 A2 的实现成本低,不需要专业知识;
b) 方法 A2 试图调整周期以满足指定的可靠性目标;
c) 如果给定样品参数的不确定度增大特性在其生命周期内保持不变,则方法 A2最终可以找到能够抵抗假性调整的周期,达到平衡。
缺点为:
a) 方法 A2 的周期调整是对单次检定结果的响应。如方法 A1 所讨论的,本质上单次结果数据在做周期调整决策时是不够的。
b) 方法 A2 没有试图对潜在的不确定度增大机制建模。因此,如果触发了周期调整,则无法确定适当的调整幅度。
c) 虽然方法 A2 最终会确定一个周期,但在调整过程中会经历相当大的调整值波动。即在周期增量变小之前,方法 A2 在保持正确周期方面并不比方法 A1 好多少。
d) 尽管方法 A2 试图达到指定的测量可靠性目标,但现有研究表明,周期调整的结果,包括最终检定周期,与正确周期有很大差异。
e) 方法 A2 需要相当长的时间来确定周期,通常为 10 年到 60 年不等。
f) 在达到正确周期所需的时间内,样品或参数的不确定度增大特性很可能会发生变化。此时应该重新进行周期调整过程。方法 A2 中没有规定应在何时进行此重新设置。同时,当方法 A2 设置了一个错误的周期时,则无论得到的测量可靠性如何,都不会对任何进一步的数据做出响应。
g) 如果方法 A2 的周期调整是由技术人员计算得到的,操作成本可能会很高。
A. 5. 3 方法 A3 的优点和缺点
优点为:
a) 方法 A3 能调整周期以满足预期的测量可靠性目标。
b) 方法 A3 能够抵抗假性周期调整。只有在证明基于统计显著性结果的调整是合理的情况下,才进行周期调整。
c) 与统计预测方法 (附录 B、C、D) 相比,方法 A3 的设计和实现成本较低。
d) 运营成本较低。
e) 当需要的数据多于可用数据时,方法 A3 是统计预测方法的一种便捷有效的备用方法。
f) 方法 A3 具有统计预测方法的大部分优点,且开发成本远低于统计预测方法。
缺点为:
a) 与其他反应性方法相比,方法 A3 的设计和实现成本相对较高。
b) 除了间隔外推法,方法 A3 没有试图对不确定度增大机制进行建模。因此,如果需要调整周期,可能无法准确确定适当的调整幅度。
c) 如果初始周期非常不正确,方法 A3 可能需要相当长的时间来达到正确周期。
d) 方法 A3 要求严格控制周期,并且对初始周期估计的有效性很敏感。
注:不应以另一种方法“更具响应性”为理由选择其他反应性方法而不选择方法 A3,因为这通常是反应性方法的缺陷,而不是优势。
附录 B 最大似然估计法--经典法 (方法 S1)
B. 1 测量可靠性及其建模
B. 1. 1 测量可靠性
计量器具的性能随着时间的推移一般会逐渐降低,即不确定度会逐渐增大。不确定度随时间增大是计量器具的典型属性。图 B. 1 (a) 中的曲线表示了属性 X 的不确定度增大趋势。图 B. 1 (b) 显示了三个不同时间点的统计分布,不确定度增大反映为分布曲线宽度的增大,曲线下的阴影区域表示随时间变化的超差概率 (每条曲线下的总面积等于 1)。不确定度随时间的增大与超差概率随时间的增加相对应,不可接受的不确定度水平与不可接受的超差概率及更高的超差发生率相对应。

图 B. 1 测量不确定度随时间变化示意图
对于某个给定的计量器具,超差概率可以用与超差条件相对应的测量结果百分数来表示。由于超差概率是对测量过程不确定度的一种度量,因此超差结果的百分数就是这种不确定度的度量结果,可以用“超差百分数”来表征测量过程的不确定度。与超差百分数相对的是合格百分数,通常被称为测量可靠性。
测量可靠性为计量器具在其允差范围内符合其性能要求的概率,通常根据可靠性目标来确定。影响测量可靠性的主要因素包括计量器具本身的稳定性、使用和存储环境、使用的频繁程度等。
图 B. 2 与图 B. 1 (b) 表明,测量可靠性即测量结果在允差内的概率随时间的增加而降低。可以用一个随时间变化的函数来模拟测量可靠性的变化。通过寻找不确定度增大与时间的函数关系,能够确定与预期测量可靠性目标相对应的检定周期。利用这种预测性建模方法,可以根据概率对预期测量可靠性进行量化。例如,一个给定周期的预期测量可靠性值为 0. 9,即在周期结束进行检定的计量器具有 90% 的概率在允差范围内。
B. 1. 2 超差过程
计量器具自上一次检定合格后,其运行的可靠性会随时间的推移而降低,因此计量器具需要定期检定。这就假定了计量器具从合格过渡到超差的过程。
由于计量器具类型的复杂性,通常难以对这一过程进行准确的描述,而试图对受到不同环境和应用条件影响的计量器具进行描述也显得不切实际。这些条件的变化通常是不可预测的。这表明,对同类计量器具总体从合格到不合格过程的描述本质上是概率性的,而不是确定性的。对于每一台单独的计量器具,由于制造、维修和维护的随机变化都存在随机差异,因此单台计量器具出现超差也是一种随机现象,可以用概率描述。

图 B. 2 测量可靠性随时间的变化曲线
B. 1. 3 超差时间序列
如前所述,可以假设一个相对较高的置信度,使得计量器具在检定后即符合性能规范的合格要求。当计量器具因使用和储存而受到随机因素影响,置信度会降低。除非随后重新检定,否则计量器具的测量可靠性随时间单调递减。
描述这类随机过程的分析方法称为时间序列分析。时间序列是一组按时间顺序排列的测量结果。假设构成时间序列的观测值是在周期时间 T 测得的,并且观测值是在随机的时刻 t 得到,那么在 t 时刻参数的测得值被标记为 R ( t )。测得值{ R (t),t ∈ T }的集合就是一个时间序列。时间序列分析根据观测到的时间序列推断随机过程的概率规律。将时间序列分析应用到检定周期确定问题中,用 R ( t )表示与时刻 t 所在周期相对应的测量可靠性。
R ( t )是从前一次检定后经过一段时间得到的测量结果中获得的。用 g ( t )表示合格结果数量,用 n ( t )表示样本总数,与时刻 t 所在周期有关的测量结果的测量可靠性由公式 R(t) = g ( t ) / n ( t )给出。基于观测样本得到的测量可靠性,用理论预期测量可靠性 R ( t )表示:

B. 1. 4 分析时间序列
可以在两次检定之间采集样本数据,以发现计量器具从合格到超差转变的随机过程并加以描述。为了便于提供时间序列,样本数据按时间顺序排列。数据可以是测得值 (变量数据),也可以是合格或超差的观测结果 (属性数据)。前者可得出描述测量仪器属性值随时间变化的随机过程模型,后者可得出表示测量可靠性的概率模型。
对于属性数据,时间序列类似于表 B. 1,其中以两周的采样周期对采样数据进行分组。这些采样周期没有规律,目的是为收集足够数量的数据,以合理的信心推断超差的随机过程。序列号级别的单台计量器具的数据太少,无法进行这种推断。因此,通常在型号以上级别按序列号进行历史数据的累积。
表 B. 1 典型的超差时间序列

图 B. 3 中的观测时间序列对应表 B. 1 中的测量可靠性。
为了分析时间序列,需确定一个预测因子 R(t,θ)= R(t) + ε,其中 θ 为待估算的速率参数,随机变量 ε 满足统计期望值 E(ε) = 0。最大似然估计方法为这类预测提供了一致的可靠性模型参数估计。

图 B. 3 观测时间序列
B. 1. 5 测量可靠性建模
无论是计量器具的周期检定,还是周期延长后的测量,不确定度增大的随机过程都是用数学模型描述的,其特征都是具有函数关系的一组参数。图 B. 4 用指数可靠性模型对表 B. 1 的时间序列进行建模,时间序列的随机过程用指数函数 R (t) = R0 e
-λt表示,其特征参数 R0 = 1 和 λ = 0. 03。

图 B. 4 超差随机过程模型示意图
B. 1. 6 可靠性模型
许多数学可靠性模型都可用于对不确定度增大过程建模。每一种模型都对应一种特定的超差机制,如对应恒定超差概率的指数模型 (见图 B. 5) 及其对速率参数的导数为公式 (B. 2) 和公式 (B. 3):

图 B. 5 指数测量可靠性模型 (θ 1=0. 012 71)
其他可靠性模型本规范不一一赘述。
B. 1. 7 可靠性模型选择标准
选择模型时,可通过将一组可行的候选模型与测量得到的超差时间序列进行比较,选择与数据最适合的模型作为可靠性模型。可使用以下标准进行选择。
B. 1. 7. 1 统计标准
计算出模型的拒绝置信度,并选择最能描述随机过程{ R (t),t ∈ T }的模型。首先合理假设能够描述随机过程的最佳模型应是拒绝置信度最低的模型,同时,还应考虑给定模型推荐周期的预期测量可靠性应等于目标测量可靠性。
B. 1. 7. 2 经济标准
假设两个模型的拒绝置信度几乎相等,但其中一个推荐的周期时间比另一个推荐的周期长几倍。这种情况下,对于两个看起来一样“好”但实际操作明显不同的可靠性模型,经济标准要求选择与最长周期时间相对应的模型。
虽然与单独使用拒绝置信度相比,结合使用经济标准已是一种改进,但仍需考虑一些其他标准。例如,在以上示例中,两个看似合适的模型产生了截然不同的预期可靠性,需对这两种模型的正确性进行判断。
B. 1. 7. 3 “民主”标准
以“民主”方式让每一个候选模型“投票”选择一个推荐的周期。该方法根据相似性对候选模型推荐的周期进行分组,最长时间的周期往往比其他周期更受欢迎。
B. 2 经典法 (方法 S1) 概述
方法 S1 试图估计出现超差的时间,特别是如果在检定周期结束时发现超差,则估计出现超差的时间在周期的中点。在收集数据进行分析时,注意“开始时间”和“停止时间”。开始时间为更新 (进行调整) 后的时间点。当发生下列情况之一时,即出现停止时间。
a) 发生更新;
b) 出现最终的检定;
c) 连续的检定历史发生中断。
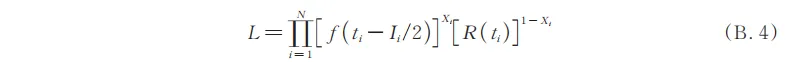
方法 S1 采用简单的指数函数来模拟测量可靠性与周期的关系,采用可靠性函数R ( t )和超差时间概率分布函数 f ( t )来构造似然函数,其中 t表示停止时间。
B. 3 持续更新方式
持续更新是指在每次检定时对测量仪器的属性进行调整或优化 (如有可能)。
如果“持续更新”有效,则开始时间出现在每个检定周期的开始时,停止时间在每个周期的结束时。似然函数的构建和具体计算公式见 5. 5. 1。
B. 4 按需更新方式
按需更新是指当发现测量仪器的属性超出“安全”调整限制时,对其进行调整或优化 (如有必要)。
在按需更新方式中,用变量 ti 表示停止时间,当属性值超出预定的调整限制时,进行调整,此时即为停止时间。似然函数如下:

式中,N 是停止时间发生的次数,Ii是发生调整之前一个检定周期的间隔。计算过程与“持续更新”方法相同,得到:

式中:


注意,如果停止时间发生在每个周期结束时,按需更新就变成了持续更新,此时ti = Ii。
B. 5 失败时更新方式
失败时更新是指只在发现超出允差时才对测量仪器的属性进行调整或优化 (如果可能)。
失败时更新是按需更新的特殊形式,此时的属性调整限制即为允差值。在失败时更新中,当发生下列情况之一时,将出现停止时间:
a) 观察到超差结果;
b) 出现最终的检定;
c) 检定历史连续性发生中断。
其数学表达式与按需更新方式相同。
B. 6 方法 S1 的优点和缺点
优点为:
a) 方法 S1 调整周期以满足预期的测量可靠性目标;
b) 方法 S1 操作成本低。
缺点为:
a) 方法 S1 中的可靠性建模仅限于使用指数模型,但依赖单一的可靠性模型可能会导致周期估计出现明显错误;
b) 方法 S1 的设计和实现成本较高;
c) 方法 S1 需要一个中等到大型的数据库以保证其有效。
附录 C 最大似然估计法--二项式法 (方法 S2)
C. 1 概述
本附录提供了实现二项式法 (方法 S2) 所需的数学方法。在测量可靠性建模中,利用超差时间构造似然函数是不可行的,因为不可能发现并准确记录实际发生超差的时间。因此任何试图以超差时间分布函数建模的尝试都不是直接进行的。但可以尝试拟合一个已知值的模型,即在检定周期结束时观察到的超差百分数。可以用二项分布构造似然函数,用可靠性函数来模拟合格概率或超差概率。通过对数据进行最大似然拟合,可以发现合格概率或超差概率与检定周期之间的函数关系。
C. 2 最大似然建模过程
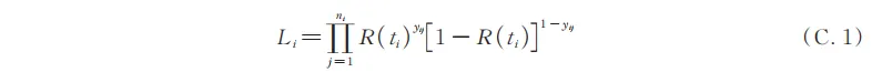
将所研究计量器具的观测范围细分为多个采样间隔,每个采样间隔包含一些最小数量的观测值。设 n 为观测总数,k、ni 和 bi 分别表示采样间隔数、第 i个采样间隔的样本数量和第 i 个采样间隔的失败数量,i = 1,2,3,…,k。ti 表示第 i个采样间隔对应的时间,设 P ( ti ) 是到时间 ti 发生超差的概率。时间 ti 时的可靠性定义为 R ( ti )= 1 -P ( ti )。设 yij 是样本数量 ni 的第 i 个样本的第 j 个观察值,yij = 1 表示结果在允差内,yij = 0 表示结果为超差。利用伯努利试验的密度函数,得到第 i个采样间隔的似然函数如公式 (C. 1)。


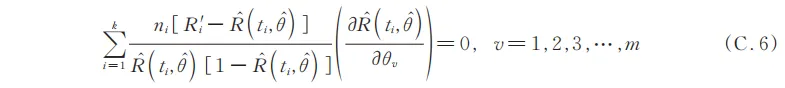
如果可靠性模型 R(ti,θ)可以由 m 个分量构成的向量表征,则可对上述似然函数取对数,并令其对速率参数 θ 的偏导为 0,则可得到由 m 个联立方程构成的方程组,以求解速率参数。

在测量可靠性建模中,参数的函数形式通常是非线性的。一般情况下难以获得速率参数 θ 的闭合解,因此需要使用迭代技术求解。
C. 3 检定周期确定
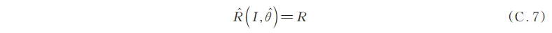
C. 3. 1 周期计算
一旦选择了模型,通过最大似然估计求解得到参数 θ 后,与可靠性目标 R 相对应的检定周期 I则可以通过公式 (C. 7) 求解:

对该非线性方程可以尝试用牛顿-拉斐逊迭代法或试凑法求解。
C. 3. 2 周期置信限计算周期 I 的置信上限和置信下限,超过界限的周期应进行调整。虽然有明确的方法来计算特定可靠性模型的置信限值 (例如指数模型和威布尔模型),但对于任意模型而言,没有通用的方法。检定历史数据就属于这一类型,需要采用间接方法来确定可靠性函数 R(t,θ)的置信限,从而确定与周期置信限相关的 I的上下限值。
分别用 τ u 和 τl表示 T 的上下限值,根据公式 (C. 8) 和公式 (C. 9) 计算 ( 1 - α )置信度的上下限值:

C. 4 方法 S2 的优点和缺点
优点为:
a) 方法 S2 能调整检定周期以满足预期的测量可靠性目标;
b) 方法 S2 在计算机上使用时操作成本较低;
c) 方法 S2 中的可靠性建模可以使用各种模型,相比方法 S1 和方法 A1~方法 A3,在周期准确性方面有显著提高;
d) 方法 S2 适用于异常值的统计识别。
缺点为:
a) 方法 S2 的设计和实现成本很高,但周期调整的准确性高,设计和开发成本可以快速收回;
b) 方法 S2 需要一个大容量的数据库。
附录 D 最大似然估计法--更新时间法 (方法 S3)
D. 1 发展似然函数
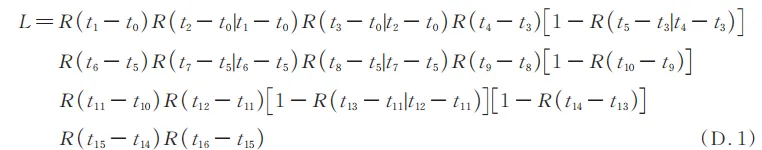
更新时间法 (方法 S3) 是对二项式法 (方法 S2) 的改进,以适应在实践中遇到的各种更新策略。该方法根据计量器具的检定历史发展而来。表 D. 1 所示为一个更新策略。
表 D. 1 更新策略示例

设 ti为第 i次检定的时间。从表 D. 1 中可以看出,“更新时间”是:

注意,以上形式包含了起点时间 t0,并且在时间 t16 时强制执行伪更新。似然函数为:

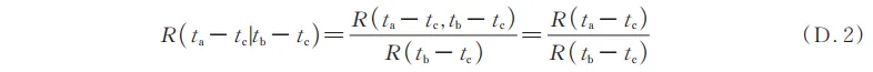
在这个表达式中,函数 R(ta)- t c |tb - t c指的是样品在时间 ta - t c 之后合格的概率,假设其在周期 tb - t c 之后是合格的。因为,如果 ta > tb,

可得

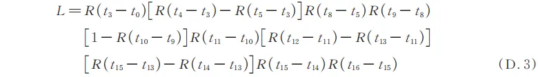
从前面的更新时间来看,可以将公式 (D. 3) 修改为:

式中:
Ij--第 j次更新之前的周期。

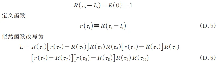
与其他最大似然估计方法一样,假设 R( 0) = 1,

D. 2 概括似然函数
为了将以上方法扩展到计算机算法中,需要定义函数。

这样,可以得出似然函数

D. 3 总似然函数
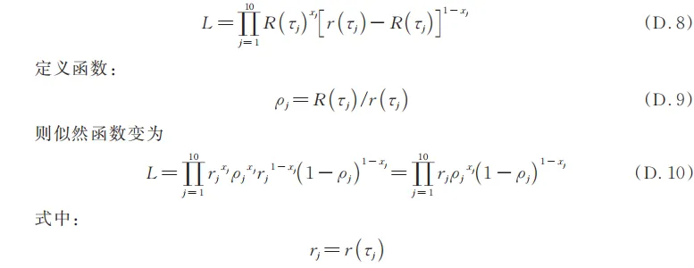
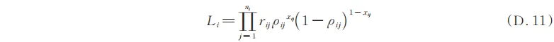
上文中考虑的是单独样品。如果是批量的样品,需要添加一个额外的下标。对于N 个样品中的第 i个样品,公式 (D. 10) 变为

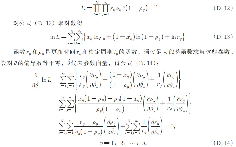
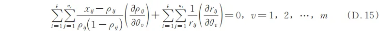
式中,ni是第 i个样品的检定次数。总似然函数是每个样品似然函数的乘积。

D. 4 按更新时间分组
将 N 个样品的标识掩盖,并将函数 rij 和 ρij 分别视为第 i 个更新时间样本中的第 j 个更新函数和第 j个超差指示。那么最大化方程可以写成:

其 中 k 是 更 新 时 间 样 本 的 数 量 , ni 现 在 是 第 i 个 更 新 时 间 样 本 内 的 观 测 数 量 。上 述 公 式 是 一 般 的 更 新 时 间 方 程 , 适 用 于 持 续 更 新 、 失 败 时 更 新 和 按 需 更 新 的情况。
D. 5 示例:简单指数模型
D. 5. 1 一般情况
简单指数模型为


可以用牛顿-拉斐逊迭代法或等效方法求解公式 (D. 18) 中的 λ。
D. 5. 2 持续更新
在持续更新方式下,每次检定后都会进行更新。因此,可以通过重新提交时间将等式 (D. 18) 中的参数分组,变量 xij为

在公式 (D. 22) 中,变量 Ii是第 i个超差发生的时间间隔。
D. 6 方法 S3 的优缺点
优点为:
a) 方法 S3 能调整检定周期以满足预期的测量可靠性目标;
b) 方法 S3 在计算机上安装使用时的操作成本较低;
c) 方法 S3 中的可靠性建模可以使用多种模型,相比方法 S1 和方法 A1~方法 A3,
在周期准确性方面有显著提高;
d) 方法 S3 允许对异常值进行统计识别;
e) 方法 S3 适用于所有更新策略。
缺点为:
a) 方法 S3 的设计和实现成本很高,但获得的检定周期的准确性高,设计和开发成本可能会迅速收回;
b) 方法 S3 要求大容量的数据库。
附录 E 数据来源与要求
E. 1 数据来源
根据检定周期确定和调整的不同对象及相关考虑因素,所使用的数据有以下几种来源类型。
E. 1. 1 按相似样品组
通常检定周期的确定可使用来自相似样品组的测量数据。表现出相似的不确定度增大特性的一组样品称为相似样品组。该组可包括来自不同制造商的样品,型号各不相同,但在功能、结构、制造、允差等方面都相同。构成一个相似样品组的原则是要求同组成员样品可互相作为替代设备。按相似样品组确定和调整检定周期时,使用的数据来自于相似样品的检定历史数据。
注:相似样品的检定周期可直接应用于具有相同可靠性目标的计量器具,如果采用周期调整方法 S1 至 S3,则针对不同的可靠性目标进行调整。
E. 1. 2 按计量器具种类
如果按相似样品组进行分类都没有足够的测量数据用于周期的确定,则可以搜集一个计量器具种类中的不同相似样品组的历史数据以产生足够多的可用于分析的数据。
该分析结果可应用于该种类中的不同组别的样品。一旦定义了某一个种类,应尽可能进行同质性试验,以验证该种类的有效性。定义一个种类需考虑以下原则,包括功能通用性、应用性、准确性、稳定性、设计和技术等。按计量器具种类确定和调整检定周期时,使用的数据来自于同种类计量器具的检定历史数据。
注:计量器具种类层面的检定周期可应用于具有相同可靠性目标的计量器具,如果采用周期调整方法 S1 到 S3,则针对不同的可靠性目标进行调整。
E. 1. 3 按型号
如需对给定型号、不同序列号的计量器具的检定周期进行调整,可使用同型号计量器具的检定历史数据进行,但按型号分组要求积累足够的数据,以便进行统计分析。
同时,必须确保同一型号的所有序列号计量器具性能的一致性,包括应遵循大致相同的使用方法,按照相同的程序进行检定,保证具有相同的准确度等。
E. 1. 4 按序列号
在某些特殊使用场所,如需对某一序列号的单台计量器具的检定周期进行调整,可使用该计量器具的检定历史数据进行,但仅适用于单台计量器具的正确检定周期在其使用寿命期间会发生变化的情况。因此只能使用最近的检定数据用于其检定周期的调整,且调整后的检定周期不能超过相关检定规程的要求。
E. 2 数据要求
E. 2. 1 数据基本要求
大多数检定周期的确定和调整方法都是基于周期内各种技术数据和其他数据,包括计量器具基本信息、使用维护和测量历史数据等,特别是周期的调整主要基于检定历史数据。只有当这些数据是完整的、有效的和一致的,检定周期的确定和调整才能准确。
E. 2. 2 数据分类要求
可按用途对数据进行分类,有助于检定周期确定或调整的进行。与周期确定和调整相关的技术数据包括末次检定日期、当前周期、已调整的周期、检定开始时间、检定结束时间、检定程序、仪器接收状态、环境条件 (包括检定、使用、运输相关环境条件)、实际测量数据、实测结果的不确定度、最大允许误差、维修和保养情况及检定人员信息等。与被检对象相关的识别数据包括仪器种类、相似样品组名称、仪器型号、仪器序列号或编号、制造商名称、仪器所在位置等。
E. 2. 3 数据维护要求
维护数据的可靠性是检定周期确定工作中的一个重要方面。在实践中会遇到各种异常情况,如修改证书、多次重复测量等。在进行周期确定的分析计算之前,应在历史数据库中对这些异常数据加以适当标记或过滤删除。同时由于检定周期取决于测量可靠性,而不是功能可靠性,因此,在确定超差条件时,应规定仅包含与指定仪器的准确度等性能相关的测量数据,而不应包含与功能、物理条件、外观等有关的数据。
另外,应确保分析的所有数据能够代表两次连续检定之间的有效周期。最后,建议长期保存相关的所有数据信息。
【免责声明】本文为转载,荣翌医疗不对其准确性、立场性及观点负责。如涉及版权问题请后台,我们将立即处理,以保障各方权益


评论