植物外泌体是护肤黑科技还是营销故事?——28天临床试验首次证实积雪草EVs精华液的多重皮肤改善效果
这两年,从“早C晚A”到“外泌体护肤”,从医美修复到“抗衰黑科技”,社交媒体上关于如何让皮肤“逆龄”的讨论从未停歇。尤其是“外泌体”这个概念,突然从细胞生物学的冷板凳冲上了美妆热搜——某国际大牌推出号称“植物外泌体”的精华,单瓶售价高达数千元,直播间里“熬夜急救”“28天换脸”的弹幕刷到飞起。就在上周,我身边一位35岁的朋友还发来一篇种草文,问我:“神经科医生,你说这植物外泌体到底是不是智商税?”说实话,作为一个整天盯着神经元突触和细胞囊泡的研究员,我看到“外泌体”这三个字的第一反应是:这不是我们研究细胞间通讯的工具吗?怎么摇身一变成了护肤界的“流量明星”?好奇心驱使下,我翻到了一篇2025年8月发表在《Cosmetics》期刊上的临床研究——一篇真正用数据说话、有安慰剂对照、做了28天人体测试的积雪草细胞外囊泡(Cica EVs)精华液试验。结果让我这个局外人也忍不住多看几眼:皮肤水分提升最高21%,弹性提升12%,连毛孔和红血丝都有显著改善。而且,同样是那瓶精华,去掉积雪草EVs后的安慰剂版本却几乎没变化。这不禁让人想问:植物外泌体,到底是营销噱头,还是真的打开了护肤的新大门?

皮肤是我们身体最大的器官,也是最直观的“年龄显示器”。随着年龄增长,内在因素(细胞衰老、胶原流失)和外在因素(紫外线、污染、氧化应激)共同作用,导致皮肤水分减少、弹性下降、色素沉着、皱纹丛生。为了对抗这些变化,全球化妆品市场在2023年已达到4460亿美元,其中护肤品占了近半壁江山。而在众多活性成分中,来自传统草药的积雪草(Centella asiatica,俗称Cica)一直是“明星选手”——它在中医和印度阿育吠陀医学中用于促进伤口愈合、抗炎已有数百年历史,现代研究也证实其富含的三萜类、黄酮类等化合物具有抗氧化和修复功效。然而,传统植物提取物存在一个痛点:有效成分穿透皮肤屏障的能力有限,而且成分复杂、作用靶点不够精准。近些年,科学家将目光转向了植物细胞分泌的“纳米快递员”——细胞外囊泡(EVs)。这些直径几十到几百纳米的脂膜小泡,天然携带植物的miRNA、蛋白质和脂质,能够被人体细胞摄取,并调控基因表达。已有体外实验表明,积雪草来源的EVs不仅能抑制黑色素合成通路,还能促进皮肤屏障修复和胶原蛋白生成,效果优于传统提取物。但令人意外的是,尽管市面上早已出现宣称含“Cica外泌体”的护肤品,却几乎没有经过同行评审的临床试验来证实其真实效果。这正是这篇2025年8月发表的研究要填补的空白:通过一项为期28天、包含20名活性组和10名安慰剂对照组的非随机开放标签预试验,首次系统评估了以积雪草细胞外囊泡为主打成分的精华液,对健康成人面部皮肤水分、弹性、黑色素、皱纹、红血丝和毛孔等多项指标的改善作用。研究不仅采用了专业皮肤分析仪器(C+K MPA580和VISIA系统)进行量化检测,还设置了去除EVs的相同基底配方作为安慰剂对照,以剥离出活性成分的真实贡献。接下来,我们就一起拆解这份研究的实验设计和数据,看看植物外泌体究竟是“真功夫”还是“虚晃一枪”。
这篇研究的逻辑起点很直接:积雪草提取物在护肤界用得不少,植物细胞外囊泡(EVs)在体外也表现出抗炎、抗黑、促修复的潜力,但市面上号称含“Cica外泌体”的产品,竟然没有一篇经过同行评议的临床试验来支撑。于是作者设计了一个为期28天的预试验,先招募20名健康成人使用含Cica EVs的精华液,在基线及第7、14、21、28天用专业仪器(C+K MPA580和VISIA)检测皮肤水分、弹性、黑色素、皱纹、红斑和毛孔六个指标。结果很漂亮,所有指标从第7天就开始显著改善,到第28天水分提升最高21.2%、弹性提升12.5%、黑色素下降11.3%、毛孔减少超过40%,而且P值都小于0.0001。但作者心里清楚,没有对照组的单臂试验说服力有限,所以又后补招了10人,用同一配方但去掉Cica EVs的精华液做安慰剂对照——尽管这个安慰剂组是非随机、非同期、非盲法的“三非”设计,统计分析却发现,EVs组在第28天几乎所有指标都显著优于安慰剂组(P<0.001),而安慰剂组自身前后对比无明显变化。这样一来,作者就把论证链条拉完整了:先展示活性产品有效,再用弱对照排除基底配方中其他保湿成分(如透明质酸、海藻糖、胜肽等)的干扰,反向证明改善主要归功于Cica EVs。最后在讨论部分,作者把自家数据与口服透明质酸、海洋胶原蛋白等已发表干预研究做了横向比较,认为28天达到的效果与别人12周的结果相当或接近,又引用自己课题组之前的体外和动物实验,提出EVs携带的miRNA可能通过抑制黑色素合成基因、促进屏障修复基因来发挥多靶点作用。当然,作者也老老实实列出了局限性:样本小、性别偏倚、后设安慰剂组缺乏随机盲法、研究周期短等,并把结论定性为“hypothesis-generating”。整体来看,这篇论文的推理路径是从临床证据缺口出发,先用单臂试验建立疗效信号,再用简陋但可操作的安慰剂对照增强归因可信度,最后用机制文献和横向数据支撑其生物学合理性,属于典型的“预试验+探索性对照”逻辑。
科学问题
1)以积雪草细胞外囊泡(Cica EVs)为核心成分的护肤精华液,在健康成人连续使用28天后,能否显著改善面部皮肤的含水量、弹性、黑色素含量、皱纹、红斑和毛孔粗大等客观指标?
2)与不含Cica EVs的安慰剂基底配方相比,Cica EVs的加入是否对上述皮肤参数的改善起到了不可替代的核心作用?
3)在28天的短期干预中,Cica EVs带来的皮肤改善幅度,与已发表的透明质酸、胶原蛋白等成熟护肤成分在更长时间(如12周)内的效果相比,是否具有可比性或优势?
4)不同年龄层(<40岁 vs >40岁)以及不同面部区域(左颊、右颊、额头)对Cica EVs的应答是否存在显著差异,即产品的效果是否具有人群和部位的一致性?
5)基于体外和动物实验所提出的“Cica EVs携带miRNA调控黑色素合成及炎症通路”的机制假说,能否在本临床观察的皮肤色素减淡和红斑消退现象中得到间接支持?
研究结果
一:从“有没有效”到“效果有多大”——28天单臂试验的核心数据解读
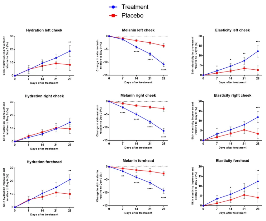
这项研究的起点其实非常朴素:既然市面上已经有那么多宣称含“积雪草外泌体”的产品在卖,但没有任何一篇经过同行评议的临床试验来证明它到底有没有用,那我们就先做一个最简单的预试验看看。作者招募了20名健康成年人(80%女性,平均年龄36.5岁,Fitzpatrick皮肤II型),让他们每天早晚各用一次含Cica EVs的精华液,并在第0、7、14、21、28天用两台专业设备——C+K MPA580(测水分、黑色素、弹性)和VISIA(测皱纹、红斑、毛孔)——进行无创检测。结果非常整齐:几乎所有指标从第7天就开始出现统计学上显著的改善,而且随着时间推移,改善幅度呈线性或近似线性的增长,到第28天达到了相当可观的水平。具体来说,皮肤水分的改善率在左颊达到了18.7%(95% CI: 14.6-22.9%),在额头达到了21.2%(17.1-25.3%),这个幅度意味着仪器测得的角质层电容值比基线提高了五分之一以上,在皮肤生理学上已经属于中等偏强的干预效果。黑色素含量则下降了9.2%到11.3%不等(负值代表减少),考虑到黑色素的代谢周期通常需要4-6周,28天能下降超过10%已经相当迅速。皮肤弹性的改善相对温和但同样显著,三个区域均达到12.0%-12.5%的提升。VISIA系统给出的结果更令人印象深刻:皱纹评分改善了32.9%-34.8%,红斑面积减少了26.3%-34.0%,而最夸张的是毛孔评分,竟然改善了40.6%-41.3%。所有上述变化的P值均小于0.0001,意味着在统计学上几乎不可能由随机误差解释。如果只看这组数据,你可能会觉得“这个产品简直是神仙水”。但任何一个严谨的科研人员都会立刻提出两个质疑:第一,这些所谓的“改善”有没有可能仅仅是仪器测量的系统误差或日间波动?第二,精华液里除了Cica EVs,还添加了透明质酸钠、海藻糖、乙酰基六肽-8、羟基富勒烯、燕麦提取物、洋甘菊提取物等一大堆已知有保湿或抗衰作用的成分,你怎么知道改善不是这些“常规选手”带来的,而Cica EVs只是一个打酱油的配角?作者显然预判了这些问题,所以他们在试验设计时就已经埋下了两条应对策略:一是用严格的标准化操作(固定环境温湿度、固定探头放置位置、自动软件评分、双人复核ICC>0.90)来最大限度减少测量偏倚;二是他们从一开始就打算——尽管是在主试验完成之后再补做一个安慰剂对照组——把Cica EVs单独拎出来检验它的“净贡献”。这就引出了我们下一段要重点分析的、也是整篇论文最核心的证据链条。

二:安慰剂对照的价值与局限——“去EVs”配方如何剥离出活性成分的真实贡献
在主试验(20人用含EVs的精华)结束后,作者又额外招募了10名基线特征匹配的健康成人(同样80%女性,平均年龄40.1岁,Fitzpatrick II型),让他们使用与活性精华液完全相同配方、但去掉了Cica EVs的“空白基底”精华液,按照同样的方案(每天两次,28天)使用,并在同样的时间点用同样的仪器进行检测。这10人构成了一个非随机、非同期、非盲法的“三非”安慰剂组——说实话,从临床试验设计的金标准来看,这种后设的、开放标签的对照组存在很多偏倚风险:比如两组不是在同一个时间段入组的,可能存在季节或环境差异;参与者知道自己用的是不是活性产品,可能会影响心理预期和依从性;研究者也知道分组情况,可能在测量或数据分析时产生无意识的主观偏向。作者自己也在讨论部分坦诚地承认了这些局限,并将其定位为“探索性比较”而非确证性结论。但如果你换一个角度看,这个安慰剂对照其实做了一个非常重要的“应力测试”:它要回答的问题是——如果把精华液里所有已知或未知的保湿、抗炎、抗氧化成分(透明质酸、海藻糖、胜肽、富勒烯、多种植物提取物等)全部保留,只是单单去掉Cica EVs,那么这瓶精华液还能不能产生显著的皮肤改善效果?结果非常清晰:在28天的使用过程中,安慰剂组在各个时间点的各项皮肤参数(水分、弹性、黑色素、皱纹、红斑、毛孔)与各自的基线相比,均未出现统计学上的显著变化。也就是说,那瓶不含EVs的精华液,尽管含有透明质酸、胜肽、富勒烯等一堆“网红成分”,实际上并没有起到真正的护肤作用——至少在这28天、在这10个人的脸上没有。而当作者把活性组(20人)和安慰剂组(10人)在第28天的改善率进行直接比较时(图5和图6),除了右脸颊的水分改善这一项之外,其余所有皮肤参数在所有面部区域,活性组都显著优于安慰剂组,P值多数小于0.001甚至0.0001,效应量Cohen’s d也普遍在1.3到1.9之间,属于非常大的效应。这个结果传递了一个非常有意思的信号:Cica EVs似乎不是“锦上添花”的配角,而更像是整瓶精华液的“发动机”——没有它,其他那些被化妆品行业反复验证过的保湿剂和活性肽,在这款水基配方中竟然集体“失灵”了。为什么会这样?作者在讨论部分给出了一个合理的推测:植物提取物和大多数水溶性活性成分(如透明质酸、胜肽)穿透皮肤角质层的能力非常有限,而EVs作为天然的脂质纳米囊泡,能够携带其内部的各种生物分子(包括miRNA、脂质、蛋白质)进入表皮甚至真皮层,并可能通过跨种族的基因调控发挥作用。换句话说,Cica EVs不仅仅是提供了一个额外的活性成分,它可能还扮演了“纳米载体”的角色,帮助配方中其他水溶性成分更好地渗透或发挥作用。当然,这个推测需要更多的实验验证,但至少从本研究的对照数据来看,Cica EVs的存在与否直接决定了整瓶精华的临床疗效,这是一个相当有力的证据,支持了“植物外泌体不是智商税”的初步结论。

三:横向比较与机制线索——28天的改善幅度在行业里算什么水平
光说自己有效还不够,科研人员最关心的是“和现有的成熟方案比,这个新东西到底有没有优势”。作者在讨论部分花了较大篇幅,将本研究的28天改善数据与已发表的几项高质量临床研究进行了横向对比。第一个对比对象是2021年一项为期12周的双盲、安慰剂对照口服透明质酸试验,结果显示皮肤水分改善约9-14%,皱纹也有显著减少。本研究的EVs精华在28天就达到了18-21%的水分提升,时间更短、幅度更大。第二个对比是一项8周的C-木糖苷面霜试验,水分提升约22%,与本研究的21.2%几乎持平,但本研究的干预时间更短(4周 vs 8周)。第三个对比是一项12周的三盲口服海洋胶原蛋白试验,皮肤弹性改善约23%,皱纹评分减少最高35%;而本研究的弹性改善为12-12.5%,皱纹减少约33-35%。从数字上看,胶原蛋白对弹性的改善更优,但EVs对皱纹的改善速度更快(4周达到胶原蛋白12周的水平)。作者没有直接宣称EVs“更好”,而是谨慎地指出:在更短的干预时间内,Cica EVs可以达到与口服透明质酸或胶原蛋白相似甚至更好的水分改善效果,并且在皱纹减少方面表现突出。这个横向比较的意义在于,它把Cica EVs从“实验室里的新奇分子”放到了“临床证据体系中的竞争生态位”上,让读者能够直观地评估它的潜在临床价值。那么,这些表面的改善背后有没有机制上的解释呢?作者引用了自己课题组之前发表的体外和动物实验数据:同样批次的Cica EVs在细胞实验中表现出抗氧化、抗黑色素生成(抑制酪氨酸酶及相关基因)、抗炎(降低UVB诱导的炎症因子)以及上调皮肤屏障相关基因(AQP3、FLG)和胶原合成基因的作用。在小鼠UVB皮肤损伤模型中,含Cica EVs的凝胶也显示出显著的舒缓、抗炎效果。此外,其他研究团队曾报道Cica EVs携带特定的microRNA,可以直接调控黑色素合成通路中的关键酶。将这些机制证据与本次临床观察到的色素减淡(黑色素下降9-11%)、红斑消退(面积减少26-34%)、弹性增加(12%)以及皱纹减少(33-35%)联系起来,就构成了一条从分子靶点到临床表型的逻辑链条:Cica EVs可能通过其携带的miRNA和活性蛋白,同时作用于黑色素细胞(抑制酪氨酸酶)、角质形成细胞(促进屏障修复)和成纤维细胞(促进胶原合成),从而在一个相对较短的时间窗口内产生多靶点的皮肤改善。当然,这条链条目前还不是直接证据——因为本研究没有对受试者的皮肤活检进行分子检测,也没有追踪EVs在人体皮肤中的分布和代谢。但作者很聪明地把这些体外和动物的机制数据作为“旁证”放在讨论里,既增强了结果的生物学合理性,又为后续的深入研究指明了方向。

四:年龄分层、区域差异和安全性——效果在不同人群中是否稳定
一个好的护肤产品不仅要在平均意义上有效,还要在不同年龄、不同肤质、不同面部区域上表现稳定,否则就会出现“有的人用了效果很好,有的人完全没用”的尴尬局面。作者对20名活性组参与者按照年龄进行了分层(<40岁 vs >40岁),分别比较了两组在第28天的各项改善率。结果发现,皮肤水分和弹性的改善在两组之间没有显著差异,说明无论你是30岁还是45岁,Cica EVs提升皮肤屏障功能的能力大致相当。但在黑色素减少方面,>40岁组在左右脸颊的改善幅度显著低于<40岁组,而额头区域的差异不显著。作者推测这可能与年长组长期累积的紫外线暴露导致的色素沉着更顽固、代谢更慢有关,但也可能是因为样本量太小(每组只有10人左右),统计功效不足以检测出真实存在的微弱差异。在VISIA的红斑改善上,>40岁组在额头区域的改善也显著低于<40岁组,提示年长皮肤的炎症修复能力可能有所下降。至于皱纹和毛孔,两组之间没有显著差异——这倒是有点反直觉,因为按理说年长组的皱纹更严重、更难以逆转,但数据显示EVs对皱纹的改善比例在两组中几乎相同。作者没有对此做深入讨论,但一个可能的解释是:VISIA的皱纹评分是基于与同龄人群数据库比较的百分位数,而不是绝对皱纹深度或数量,所以不同年龄组之间的改善率可能不具备直接可比性。在面部区域差异方面,总体来看左颊、右颊、额头的改善趋势高度一致,只有少数指标(如右颊的水分改善、额头早期的皱纹改善)略有波动。这说明产品的效果在面部不同区域是相对均衡的,没有出现“额头效果很好、脸颊完全没用”的偏倚。最后,安全性方面,所有参与者在入组前都通过了24小时皮肤斑贴试验,确认对产品无过敏或刺激反应。在28天的使用过程中,没有报告任何不良事件。考虑到植物来源的EVs具有较低的免疫原性(与动物或人源外泌体相比),且不携带病毒或病原体,其安全性优势是显而易见的。作者还特别提到,对于素食者、清真或犹太洁食等有伦理或宗教要求的消费群体,植物EVs相比动物/人源外泌体具有更大的可接受性。这些数据共同描绘了一个相对完整的画像:Cica EVs精华在短期内对多种皮肤参数有显著且稳定的改善效果,对不同年龄(至少是40岁上下)的人群效果差异不大,安全性良好,且具有超越传统动物源成分的社会文化兼容性。


五:研究的“硬伤”与未来方向——为什么这篇论文只能算“假设生成”而非“证实”
任何一篇诚实的临床研究论文都会在讨论部分详细列出自己的局限性,而这篇的作者毫不避讳地把最致命的几个问题摆在了台面上。第一,也是最核心的问题:安慰剂组是“事后”招募的、非随机的、非盲法的。这意味着活性组和安慰剂组不是在同一个时间段、同一个随机化流程中产生的,可能存在时间偏倚(比如季节变化导致皮肤状态不同)、选择偏倚(后招募的10人可能在基线特征上与活性组有不可观测的差异)以及观察者偏倚(研究者知道谁用了活性产品,可能在测量或数据分析时不自觉地偏向活性组)。作者虽然采取了一些补救措施——比如由外部盲态统计师审核基线可比性、评估者保持盲态(但参与者自己知道分组,所以无法做到双盲)、自动软件评分减少人为干预——但无法从根本上消除这些偏倚。因此,作者明确将本研究的结论定性为“hypothesis-generating”(生成假设)而非“confirmatory”(确证性),也就是说,它提供了一个强有力的信号,但需要后续更严格的随机双盲安慰剂对照试验来验证。第二,样本量太小(活性组20人,安慰剂组10人),而且种族单一(全部为东亚裔,Fitzpatrick II型),性别失衡(80%女性)。这意味着结果能否外推到其他种族(如高加索人、非洲裔)、其他皮肤类型(III-VI型)以及男性人群,是完全未知的。第三,干预时间只有28天,对于皮肤这样的长期更新器官来说,这只是一个“急性期”反应,无法判断效果的维持时间、是否存在耐受性(即长期使用后效果减弱)、以及非常罕见的不良反应(如迟发性过敏)是否会出现。第四,虽然仪器测量是客观的,但本研究没有纳入参与者的自我感知评价(比如“你觉得自己的皮肤变好了吗?”),也没有做标准的临床视觉评分(由皮肤科医生盲法评估照片)。仪器测出的18%水分提升,在肉眼看来到底有多明显?这是读者非常关心的转化问题,但论文中没有直接回答。第五,研究没有对Cica EVs本身进行表征(粒径、浓度、分子标记物等),虽然作者在之前的一篇bioRxiv预印本中做过相关表征,但本论文中没有提供该批次EVs的质量控制数据,这降低了研究的可重复性。基于以上局限性,作者为未来的研究指明了几个方向:需要进行大规模、多中心、随机双盲、安慰剂对照的验证性试验;需要纳入更多样化的人群(不同种族、皮肤类型、性别、年龄组);需要延长观察周期(至少12周,最好有洗脱期随访);需要结合皮肤活检或非侵入性的分子检测(如胶带剥离后的基因表达分析)来直接验证EVs在人体皮肤中的分子机制;还需要对比Cica EVs与传统积雪草提取物的疗效差异,以明确EVs技术是否确实优于传统植物提取工艺。总的来说,这篇论文像是一块精心铺设的“垫脚石”——它用一个设计上有明显短板但数据却非常一致且有力的预试验,告诉同行们:这个方向值得投入更大的资源去做严格的临床试验。对于从事科研的专业人员而言,阅读这样的论文最有价值的收获,恰恰不是它“证明了什么”,而是它在证明过程中暴露出的方法学缺口,以及作者如何通过一个简陋的安慰剂对照和一个坦诚的局限性讨论,最大程度地提高了自己证据的可信度。

创新性
这篇研究的核心创新点在于,它是国际上首个公开发表的、经过同行评议的、针对积雪草细胞外囊泡(Cica EVs)护肤产品的临床试验。在此之前,尽管市面上已有大量宣称含“植物外泌体”或“积雪草外泌体”的化妆品在售,但没有任何一项研究在健康人群中通过仪器量化评估其28天连续使用的真实皮肤改善效果。该研究不仅在试验设计上设置了自身前后对照,还创造性地引入了后设的安慰剂对照组——尽管并非随机双盲,但通过使用完全相同配方仅去除Cica EVs的基底精华作为对照,成功剥离出活性成分的“净贡献”,证实了改善效果主要归功于EVs而非配方中其他保湿或抗衰成分。此外,研究采用了两种专业皮肤分析设备(C+K MPA580和VISIA系统)同步检测水分、弹性、黑色素、皱纹、红斑、毛孔六个终点指标,数据维度全面且均为客观仪器读数,排除了主观评分偏倚。在数据分析上,作者不仅报告了组内前后变化的统计学差异,还计算了与安慰剂组的效应量(Cohen’s d),并进行了年龄分层(<40岁 vs >40岁)和不同面部区域的亚组分析,探索了效果的均匀性。最后,作者将自己28天的数据与已发表的口服透明质酸、海洋胶原蛋白等12周干预研究进行了横向比较,提出Cica EVs在更短时间内达到相似甚至更优改善幅度的潜在优势,为后续更大规模的验证性试验提供了关键的“假设生成”证据和可比较的效应量基准。
局限性
尽管本研究提供了有价值的初步证据,但其方法学上的局限性不容忽视,读者在解读时应保持审慎。最突出的问题在于安慰剂对照的设计:后设的10人安慰剂组是在活性组完成试验后才单独招募的,非随机、非同期、非盲法,这引入了明显的时间偏倚、选择偏倚和观察者偏倚风险。虽然作者采用了外部盲态统计师审核基线可比性、自动化软件评分等措施,但参与者知晓分组以及研究者非盲的状态,可能通过心理预期效应或测量时的无意识倾向影响结果,因此该安慰剂比较只能视为探索性的,不能作为确证性结论。样本量方面,活性组仅20人、安慰剂组仅10人,且全部为东亚裔Fitzpatrick II型皮肤,女性占80%,年龄集中在36-40岁左右,这使得研究结果向其他种族(如高加索人、非洲裔)、其他皮肤光型(III-VI型)、男性以及老年或青少年人群的外推性非常有限。干预时长仅为28天,对于皮肤这类更新周期较长的器官而言,这只能捕捉到短期效应,无法评估效果的持续性、是否产生耐受性以及长期安全性(如迟发型过敏)。此外,研究没有纳入受试者的自我感知问卷或皮肤科医生的临床视觉评分,仪器测得的18%-21%水分提升在肉眼观察中究竟代表多大程度的“可见改善”,论文并未回答。最后,作者没有在本论文中提供该批次Cica EVs的粒径、浓度、表面标记物等表征数据,降低了研究的可重复性。基于上述局限,这项研究应被定性为“假设生成性”的预试验,其结论需要后续大规模、随机双盲、安慰剂对照、多中心试验的验证。
参考文献
Chang, T.‑M., Wu, C.‑C., Huang, H.‑C., Lu, J.‑Y., Chuang, C.‑H., Kao, P.‑L., Tang, W.‑H., Liu, L. T.‑C., Qiu, W.‑Y., Percec, I., Chen, C., & Kao, T.‑Y. (2025). A 28‑Day Pilot Study of the Effects on Facial Skin Hydration, Elasticity, and Texture of a Centella asiatica Extracellular Vesicle‑Based Skin Care Formulation. Cosmetics, *12*(5), 186. https://doi.org/10.3390/cosmetics12050186


评论