联发时光新澍大小户型销售两极分化 孙涛定位精准or定价失误?
如果一个楼盘的一种户型产品卖得特别火爆,从辩证角度来说正向原因是开发商充分洞察市场需求,做出了最合适的产品,反向来说定价是否还有上涨空间?
这种现象就发生在了联发青浦楼盘联发时光新澍身上,项目120平以上的大户型与120平以下的中小户型销售出现了强烈分化。
大小户型销售分化严重
2025年7月24日,联发21.9亿一口气拿下青浦五幅地块,其中三幅为住宅用地,便是如今的联发时光新澍。
拿地后联发光速开发,5个月后便完成了首次开盘,项目共分为两个备案名,时光澄园以中小户型为主,时光璟园以大户型为主。
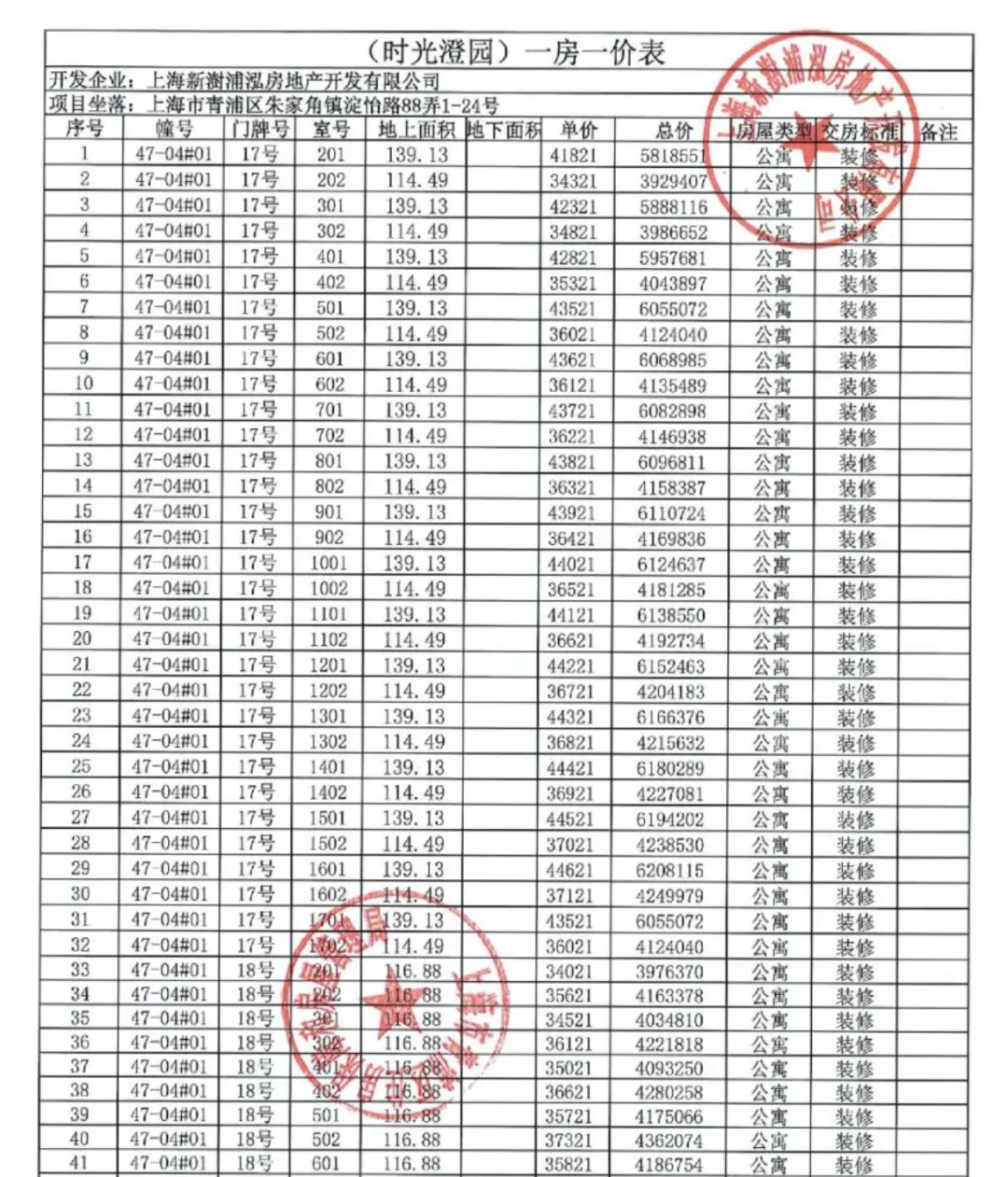
2025年12月28日,时光澄园首次开盘推出128套住宅,其中96套为114-117㎡中小户型,32套为139㎡大户型。

截止到2026年4月15日,32套大户型仅售出1套,而96套中小户型售出75套,去化表现分化严重。
时光璟园情况也比较类似,2025年12月28日和2026年2月5日累计开盘两次,共推出160套住宅,其中52套为中小户型。

截止到2026年4月15日,该52套中小户型已销售19套,其余108套大户型售出29套。
累计计算,联发时光新澍148套中小户型销售94套,去化率63.5%;140套大户型销售30套,去化率21.4%。
孙涛定价策略之谜
联发时光新澍户型销售情况出现如此大差异,归根结底在于公司沪杭事业部总经理孙涛采取的不同定价策略。
联发时光新澍大户型单价远高于中小户型,这就造成了大户型不仅单价高,总价也更高,以首次开盘的17号楼为例,对比非常明显。
17号楼为16层高层,每层楼2套房,1套为114㎡,1套为139㎡。底楼201室大户型单价4.18万每平,总价581.9万,202室中小户型单价3.4万每平,总价392.9万。
顶楼1701室大户型单价4.35万每平,总价605.5万,1702室中小户型单价3.6万每平,总价412.4万。

可以发现,大户型单价基本高出中小户型约20%,总价则高出更多。
孙涛针对项目营销提出的主要客群是在周边华为基地、北斗基地工作的新青年,从目前销售情况来看这部分群体可接受的总价为400-500万区间,大户型则超出了其预算上限。
从正向角度来看,可以说孙涛这次定价策略非常成功,完全抓住了购房者需求。但从反向来说,其针对中小户型的定价是否低了?大户型定价是否高了?
根据资料显示,联发时光新澍总住宅套数预计为1170套左右,目前仅推出288套,占比24.6%。4月下半年项目即将推出204套新房源,中小户型149套,备案均价3.8万每平,略有上涨。
按照当初拍地时规定,项目中小套型占比为不低于40%,不知在看到中小户型热销后,联发是否还会调整后续供应结构。
大家好,这里是乐财聚,一门心思关注上海楼市行情,包括新房开盘、二手成交、土地拍卖、政策变化、房企动态等方面,力求为读者带来最新消息。
了解最新上海楼市信息请添加小助理微信入群

Ps.想了解上海城建及企业消息,可以去下面这个地方~


评论